แหล่งเรียนรู้สวนสยาม

เนื้อที่ 300 ไร่ โดยเล็งเห็นว่าพื้นที่บริเวณดังกล่าว จะมีการพัฒนา และชุมชนจะต้องขยายมา ณ บริเวณแห่งนี้ การเดินทางคมนาคมจะสะดวก รวดเร็ว สามารถเชื่อมโยงกับตัวเมืองได้อย่างสะดวกสบาย นอกจากนั้น กลุ่มผู้ลงทุนยังมีความมั่นใจว่า สวนเอนกประสงค์ในบรรยากาศธรรมชาติจะสนองความต้องการ ในการเป็นสถานที่พักผ่อนหย่อนใจสำหรับประชาชนชาวไทยทั่วประเทศ และนักท่องเที่ยวต่างชาติทั่วโลกที่มาเที่ยวพักผ่อนในประเทศไทยได้เป็นอย่างดี
ในระยะแรก บริษัทอมรพันธุ์นคร จำกัด ได้แบ่งโครงสร้างออกเป็น 2 ส่วน คือส่วนบ้านจัดสรร และส่วนสวนสยาม ต่อมาในเดือนพฤศจิกายน 2523 สวนสยาม ได้รับการจัดตั้งใหม่ ภายใต้การบริหารงานของบริษัท อมรพันธุ์นคร – สวนสยาม จำกัด เพื่อให้การดำเนินงานของสวนน้ำ สวนสนุกแห่งแรกที่ใหญ่ที่สุดในประเทศไทยแห่งนี้ สามารถขยายตัวต่อไปได้อย่างไม่หยุดยั้ง พร้อมเปิดให้บริการเป็นวันแรกเมื่อวันที่ 19 พฤศจิกายน 2523 โดยได้รับความสนใจและการสนับสนุนจากกลุ่มผู้ใช้บริการต่างๆ อย่างกว้างขวาง ภายใต้ชื่อที่ติดปากประชาชนทั่วไปว่า "สวนสยาม ทะเล-กรุงเทพฯ"
กลับไปที่เนื้อหา
สวนสนุกสยามพาร์คซิตี้ หรือที่เดิมรู้จักกันในชื่อ สวนสยาม มีที่ตั้งอยู่เลขที่ 203 ถนนเสรีไทย (ถนนสุขาภิบาล 2) เขตคันนายาว กรุงเทพมหานคร บนเนื้อที่ 300 ไร่ สยามพาร์คซิตี้ หรือสวนสยาม เป็นสวนสนุกที่ใหญ่ที่สุดของประเทศไทย และมีทะเลเทียมที่ใหญ่ที่สุดในโลก ซึ่งกินเนสส์ เวิลด์ เร็คคอร์ด ร่วมกับสมาคมสวนน้ำโลก มอบรางวัลหนังสือรับรอง "ทะเลเทียมที่ใหญ่ที่สุดในโลก" ให้แก่ ทะเล-กรุงเทพฯ สวนสยามเมื่อวันที่ 30 เมษายน พ.ศ. 2552 ทั้งนี้เพราะ ทะเล-กรุงเทพฯ สวนสยาม มีขนาด 13,600 ตารางเมตร รองรับผู้ใช้บริการได้พร้อมกันถึง 13,000 คน ส่วนเจ้าของสถิติทะเลเทียมที่ใหญ่ที่สุดในโลกเดิม คือ ดีโน่ พาร์ค นครเซี่ยงไฮ้ สาธารณรัฐประชาชนจีน มีขนาด 6,053 ตารางเมตร รองลงมาคือ สวนน้ำดิสนีย์ เมืองออร์ลันโด ฟลอริดา สหรัฐอเมริกา ขนาด 4,220 ตารางเมตร นอกจากนี้ในสยามพาร์คซิตี้ ยังมีรางน้ำวนและเครื่องเล่นกว่า 30 ชนิด อาทิเช่น Vortex Boomerang Giant Drop Twin Dragon Condor และอื่น ๆ อีกมากมาย
กลับไปที่เนื้อหา
ใช้การเดินทางโดยรถยนต์ เข้าได้สองเส้นทาง เส้นทางแรกถ้ามาจากแยกบางกะปิไปตามถนนเสรีไทยเป็นระยะทางประมาณ 5 กิโลเมตร ก็เลี้ยวเข้าซอยข้างธนาคารกรุงเทพ สาขาสวนสยามและอีกเส้นทางหนึ่งใช้การเดินทางไปตามถนนรามอินทรา จนถึงกิโลเมตรที่ 12 ตรงข้ามโรงพยาบาลนพรัตน์ราชธานี ก็เลี้ยวขวาและเลี้ยวซ้ายเข้าถนนสวนสยาม อีกประมาณ 2 กิโลเมตรจะถึงสยามพาร์คซิตี้ หรือสวนสยามซึ่งอยู่ทางซ้ายมือ หรือเดินทางด้วยรถประจำทางสาย 60 ,71 ,96 ,115 รถเมล์ปรับอากาศสาย ปอ. 168 , ปอ. 519 รถไมโครบัสสาย ปอพ.8 , ปอพ. 17 จะผ่านด้านหน้าสยามพาร์คซิตี้ หรือสวนสยาม
วิดีทัศน์ เรื่อง สยามพาร์คซิตี้
เอกสารอ้างอิง
http://www.siamparkcity.com/siampark/direction.php
กลับไปที่เนื้อหา

สวนสยามหรือในชื่อปัจจุบันว่า สยามพาร์คซิตี้ เปิดดำเนินการมาตั้งแต่เดือนพฤศจิกายน พ.ศ. 2523 ดำเนินงานโดยบริษัท อมรพันธ์นคร-สวนสยาม จำกัด โดย นายไชยวัฒน์ เหลืองอมรเลิศ เป็นประธานกรรมการ อัตชีวประวัติของนายชัยวัฒน์ เหลืองอมรเลิศ ผู้ก่อตั้งสวนสยามน่าสนใจศึกษา โดยประวัติย่อ ๆ มีดังนี้

นายชัยวัฒน์ เหลืองอมรเลิศ เป็นชาวไทยเชื้อสายจีน เป็นลูกคนที่สาม ในจำนวน 8 คน บิดาและมารดาเป็นชาวจีนโพ้นทะเลที่อพยพมาทำมาหากินที่เมืองไทยเปิดร้านขายของชำเล็ก ๆ ตั้งอยู่ใกล้ๆ ริมคลอง ตลาดบางบัว ย่านบางเขน กรุงเทพฯ เมื่อเรียนจบชั้น ป.4 อายุประมาณ 12 – 13 ขวบ ก็เริ่มทำงานเป็นเด็กรับจ้าง ในร้านขายก๋วยเตี๋ยวแห่งหนึ่งย่านบางเขน ต่อมาก็ไปเป็นกระเป๋ารถเมล์ กระเป๋ารถโดยสารที่วิ่งระหว่างกรุงเทพฯ – อุดรธานีและต่อมาก็ยึดอาชีพรับจ้างส่งของและอาชีพพ่อค้าเร่ จนได้พบกับอาจารย์ที่สอนประมงของมหาวิทยาลัยเกษตรศาสตร์ท่านหนึ่ง ชักชวนให้หันเหชีวิตสู่อาชีพเพาะพันธุ์ปลาขาย เพราะเป็นสัตว์เศรษฐกิจ จึงเริ่มทดลองเพาะพันธุ์ปลาน้ำจืด เช่น ปลาดุก ปลาใน ปลาสลิด ปลาเฉาฮื้อ และซ้งฮื้อ โดยใช้คลองบางบัวเป็นสถานที่เพาะเลี้ยง ปรากฏว่าขายดี เริ่มมีชื่อเสียง จึงตั้งเป็นห้างหุ้นส่วนสำนักงานอมรพันธุ์ เพื่อจำหน่ายพันธุ์ปลาไปขายยังต่างจังหวัดทั่วประเทศ
แต่ประมาณปี 2512 ก็วางมือกับอาชีพค้าขายสิ่งมีชีวิตหันไปทำธุรกิจพัฒนาที่ดินและจัดตั้งบริษัท ช. อมรพันธุ์ จำกัดขึ้น และปี พ.ศ. 2518 ก็ได้ตั้งบริษัทอมรพันธ์นครทำโครงการปรับปรุงพื้นที่แปลงใหญ่ จำนวนหลายแปลงในกรุงเทพฯ ซึ่งในเวลานั้นเป็นนาข้าว และบางแห่งไม่ได้ทำการเพาะปลูก ให้กลายมาเป็นหมู่บ้านจัดสรรขนาดใหญ่ในเนื้อที่ 1,000 ไร่ พร้อมสวนน้ำ สวนสนุกโดยใช้ชื่อว่า สวนสยาม ทะเล-กรุงเทพ ในเนื้อที่ 300 ไร่ ต่อมาในเดือนพฤศจิกายน 2523 สวนสยาม ได้รับการจัดตั้งใหม่ ภายใต้การบริหารงานของบริษัท อมรพันธุ์นคร – สวนสยาม จำกัด เพื่อให้การดำเนินงานของสวนน้ำ สวนสนุกแห่งแรกที่ใหญ่ที่สุดในประเทศไทยแห่งนี้ สามารถขยายตัวต่อไปได้อย่างไม่หยุดยั้ง เมื่อปี พ.ศ. 2550จึงเปลี่ยนชื่อเป็น "สยามพาร์คซิตี้" เพื่อให้สอดคล้องกับภาพลักษณ์ความเป็นสากล และความสมบูรณ์ครบถ้วนของผลิตภัณฑ์และบริการต่างๆ ที่มีความหลากหลายและคุณภาพสูงที่สุดในภูมิภาคเอเชีย
กลับไปที่เนื้อหา
คลื่นเป็นการเคลื่อนที่แบบหนึ่งที่เกิดจากการรบกวน แล้วมีการถ่ายโอนพลังงานจากการรบกวนออกไปโดยรอบ ซึ่งเรียกว่า การแผ่คลื่น ถ้าการถ่ายโอนพลังงานหรือการแผ่คลื่นต้องอาศัยอนุภาคของตัวกลางเป็นตัวถ่ายโอนพลังงานจึงจะทำให้คลื่นแผ่ออกไปได้ เรียกคลื่นประเภทนี้ว่า คลื่นกล

คลื่นผิวน้ำเป็นคลื่นกลที่มีอนุภาคของน้ำเป็นตัวกลาง เมื่อโยนก้อนหินลงในสระน้ำที่มีผิวน้ำเรียบ ก้อนหินจะถ่ายโอนพลังงานให้กับอนุภาคน้ำ ทำให้อนุภาคน้ำที่ผิวมีการเคลื่อนที่สั่นขึ้นลง แล้วถ่ายโอนพลังงานให้อนุภาคข้างเคียงให้มีการสั่นต่อเนื่องกันไป ผิวน้ำจะกระเพื่อมสูงขึ้นและเว้าลงเป็นวงขยายออกไปเป็นคลื่น ถ้าเขียนภาพตัดขวางจะมีลักษณะเป้นกราฟรูป sine ดังนี้

เมื่อเกิดคลื่นบนผิวน้ำตำแหน่งสูงสุดของคลื่นที่อนุภาคน้ำมีการกระจัดมากที่สุดในทิศขึ้น เรียกว่า สันคลื่น (Crest) ส่วนตำแหน่งต่ำสุดของคลื่นที่อนุภาคน้ำมีการกระจัดมากที่สุดในทิศลง เรียกว่า ท้องคลื่น (Trough) ระยะระหว่างสันคลื่นที่อยู่ถัดกัน หรือระยะระหว่างท้องคลื่นที่อยู่ถัดกัน เรียกว่า ความยาวคลื่น (wavelength) ใช้สัญลักษณ์ λ ส่วนความสูงหรือความลึกของคลื่นวัดจากระดับน้ำปกติ เรียกว่า แอมพลิจูด (Amplitude) ระยะทางที่สันคลื่นหรือตำแหน่งใด ๆ บนคลื่นเคลื่อนที่ไปได้ใน 1 หน่วยเวลา เรียกว่า อัตราเร็วคลื่น ( v ) มีหน่วยเป็นเมตรต่อวินาที และจำนวนลูกคลื่นที่เคลื่อนที่ผ่านตำแหน่งใด ๆ บนผิวน้ำใน 1 หน่วยเวลา เรียกว่า ความถี่ ( f ) มีหน่วยเป็น เฮิร์ตซ์ (Hz)
อัตราเร็วของคลื่นสัมพันธ์กับความยาวคลื่นและความถี่ ตามสมการ v = f λ
เมื่อรบกวนผิวน้ำจะเกิดคลื่นแผ่ออกไปรอบแหล่งกำเนิดคลื่น แนวของสันคลื่นหรือท้องคลื่นที่ออกจากแหล่งกำเนิดคลื่นในเวลาเดียวกัน เรียกว่า หน้าคลื่น แหล่งกำเนิดคลื่นที่มีขนาดเล็กหรือเป็นทรงกลม จะให้หน้าคลื่นวงกลม

กรณีที่แหล่งกำเนิดคลื่นมีความยาวมากกว่าความยาวคลื่นมากๆ จะได้หน้าคลื่นเป็นเส้นตรง

ทั้งหน้าคลื่นวงกลมและหน้าคลื่นเส้นตรงที่เคลื่อนที่ออกจากแหล่งกำเนิดจะแสดงทิศทางการเคลื่อนที่ได้ด้วยเส้นรังสี ซึ่งเป็นเส้นที่ตั้งฉากกับหน้าคลื่น
แหล่งกำเนิดคลื่นของทะเลเทียมในสยามพาร์คซิตี้มีลักษณะเป็นแท่งยาว กดลงในน้ำเป็นจังหวะด้วยมอเตอร์ขนาดใหญ่ คลื่นที่ได้จึงเป็นคลื่นหน้าตรง คลื่นที่เกิดขึ้นบนผิวน้ำนี้เมื่อพบสิ่งกีดขวางก็จะมีการเปลี่ยนแปลงตามสมบัติของคลื่น คือ
1.มีการสะท้อน (Reflection) เมื่อคลื่นกระทบสิ่งกีดขวางจะเปลี่ยนทิศทางกลับมาในตัวกลางเดิม โดยเป็นไปตามกฎการสะท้อน คือมุมตกกระทบเท่ากับมุมสะท้อน ชายฝั่งของทะเลเทียมที่สยามพาร์คซิตี้ มีลักษณะลาดเช่นเดียวกับชายฝั่งทะเลจริง เพื่อลดการสะท้อนของคลื่น
2.มีการหักเห (Refraction) เป็นปรากฏการณ์ของคลื่นที่เคลื่อนที่ผ่านรอยต่อระหว่างตัวกลางที่มีสมบัติต่างกัน ความเร็วของคลื่นจะเปลี่ยนไปจากเดิม ทั้งในทะเลจริงและทะเลเทียมจะเห็นได้ว่าบริเวณที่เป็นแหล่งกำเนิดคลื่นอยู่ในน้ำที่ลึกกว่าชายหาด คลื่นจากบริเวณน้ำลึกเคลื่อนที่เร็ว เมื่อเข้าสู่เขตน้ำตื้นจะเคลื่อนที่ช้าลงและหน้าคลื่นจะเปลี่ยนทิศจนขนานกับชายหาด

3.มีการแทรกสอด (Interference) คลื่นที่เกิดจากแหล่งกำเนิดคลื่น 2 แหล่งเมื่อมาพบกันจะเคลื่อนผ่านกันไปได้โดยขณะที่ผ่านกันจะมีการซ้อนทับกันของคลื่น โดยตำแหน่งที่สันคลื่นหรือท้องคลื่นของคลื่นแต่ละขบวนมาพบกัน การกระจัดของอนุภาคน้ำของคลื่นทั้งสองขบวนจะเสริมกันทำให้ผิวน้ำสูงขึ้นมากหรือต่ำลงมาก แต่ถ้าเป็นการพบกันของสันคลื่นและท้องคลื่น การกระจัดของอนุภาคจะหักล้างกัน ผิวน้ำก็จะไม่กระเพื่อมมาก ทะเลเทียมของสยามพาร์คซิตี้มีเครื่องกำเนิดคลื่นหลายเครื่องสามารถทำให้เกิดคลื่นขนาดใหญ่ได้โดยทำให้เกิดการแทรกสอดของคลื่นแบบเสริมกัน

4.มีการเลี้ยวเบน (Diffraction) เมื่อคลื่นเคลื่อนที่ปะทะสิ่งกีดขวางที่มีช่องเปิด จะมีคลื่นปรากฏทางด้านหลังของสิ่งกีดขวางได้ เรียกว่าการเลี้ยวเบน เมื่อคลื่นมีความยาวคลื่นมาก การเลี้ยวเบนจะเกิดมากขึ้น
.
คลื่นจากแหล่งกำเนิดคลื่นของสยามพาร์คซิตี้ส่วนหนึ่งจะเคลื่อนที่ตรงไปยังทะเลเทียมส่วนที่อยู่ตรงกับแหล่งกำเนิดคลื่น บริเวณนี้คลื่นจะมีแอมพลิจูดมากหรือสูงมาก และคลื่นอีกส่วนหนึ่งจะเลี้ยวเบนอ้อมขอบสิ่งกีดขวางที่ทำเป็นช่องเปิดไปยังทะเลเทียมบริเวณที่มีพื้นที่มาก เป็นที่เล่นของคนทั่วไปและเด็ก ๆ คลื่นที่เลี้ยวเบนอ้อมมานี้จะมีพลังงานไม่มากนัก
วิดีทัศน์ เรื่อง ทะเลเทียม
คำถาม
- คลื่นในทะเลเทียมเกิดขึ้นได้อย่างไร
- อัตราเร็วของคลื่นในทะเลเทียมมีค่าประมาณกี่เมตรต่อวินาที
- แอมพลิจูดของคลื่น ขึ้นกับอะไรบ้าง

เอกสารอ้างอิง
http://hendrix2.uoregon.edu/~imamura/102/section4/chapter19.html
http://www.1000usefulthings.com/952-how-tsunamis-form
http://scienceonthego.blogspot.com/2011/07/circular-water-waves-and-periodic-waves.html
https://sites.google.com/site/sotascientific/year-3-physics/waves
http://www.ebibleteacher.com/imagehtml/backgrnd4.html
http://www.123rf.com/photo_1767344_frequency-interference-between-waves-in-the-sea.html
http://esfsciencenew.wordpress.com/2009/03/26/diffraction-wave-spreading-around-an-edge/
http://www.sciencelearn.org.nz/Science-Stories/Tsunamis-and-Surf/Sci-Media/Images/Diffraction-and-interference
กลับไปที่เนื้อหา

การตกของวัตถุในแนวดิ่งด้วยความเร่งจากแรงโน้มถ่วงของโลก เช่นปล่อยก้อนหินจากที่สูงให้ตกสู่พื้นโลก เมื่อถือว่าแรงต้านของอากาศมีขนาดน้อยมาก วัตถุจะมีแรงโน้มถ่วงของโลกกระทำเพียงแรงเดียว จัดเป็นการตกของวัตถุอย่างอิสระ โดยวัตถุจะเคลื่อนที่ด้วยความเร่ง g ทิศลงสู่พื้น ซึ่งเป็นความเร่งจากแรงดึงดูดของโลกและขนาดความเร่ง g = 9.8 m/s2 หรือ ประมาณ 10 m/s2
การตกอิสระของวัตถุมีผลต่อการชั่งน้ำหนักของวัตถุด้วย เมื่อเรายืนบนตาชั่งสปริง ตาชั่งจะอ่านขนาดของแรงที่ตาชั่งดันเราขึ้นในแนวตั้งฉาก ซึ่งเรียกว่าแรงปฏิกิริยาตั้งฉากหรือ N ไม่ได้อ่านน้ำหนักของเราหรือ W โดยตรง แต่ขณะที่เราชั่งน้ำหนักบนตาชั่งนั้น ทั้งตัวเราและตาชั่งอยู่นิ่ง นั่นคือ แรงลัพธ์ที่กระทำต่อตัวเราเป็นศูนย์ตามกฎข้อที่หนึ่งของนิวตัน แสดงว่า ขนาดของแรง N = W เราจึงอ่านค่าของแรง N จากตาชั่งเป็นค่าน้ำหนักของเราได้

แต่ถ้าวัตถุและตาชั่งกำลังตกอิสระ มีแรงโน้มถ่วงของโลกกระทำเพียงแรงเดียว ไม่มีแรง N กระทำต่อวัตถุ แสดงว่าวัตถุไม่กดตาชั่งและตาชั่งก็ไม่ได้ดันวัตถุ เข็มของตาชั่งจะชี้ที่ศูนย์ โดยวัตถุและตาชั่งจะตกลงมาพร้อมกัน โดยผิววัตถุแค่สัมผัสกับจานตาชั่งเท่านั้น สภาพเช่นนี้ เรียกว่า สภาพเสมือนไร้น้ำหนัก

เครื่องเล่นในสยามพาร์คซิตี้ที่มีชื่อเรียกว่า Giant Drop หรือยักษ์ตกตึก ก็ใช้หลักการตกอย่างอิสระของวัตถุเช่นเดียวกัน เมื่อคนขึ้นนั่งในกระเช้าขนาดใหญ่แล้ว จะถูกดึงขึ้นไปบนยอดหอคอยสูงประมาณ 75 เมตร เมื่อถึงยอดหอคอยทั้งคนและกระเช้าอยู่ในสภาพนิ่ง ขณะนั้นแรงที่พื้นที่นั่งของกระเช้าดันคนขึ้น N จะเท่ากับน้ำหนักของคน W นั่นคือคนจะยังรู้สึกว่าตัวเองมีน้ำหนัก จากนั้นกระเช้าจะถูกปล่อยให้ตกลงมาสู่พื้นอย่างอิสระ ระหว่างที่คนและกระเช้าตกลงมาพร้อมกัน ตัวผู้นั่งจะไม่กดบนกระเช้าและอยู่ในสภาพเสมือนไร้น้ำหนัก เมื่อตกลงมาจนสูงจากพื้นประมาณ 10 เมตรกระเช้าจึงจะลดความเร็วลงจนหยุดนิ่งเมื่อถึงพื้น
วิดีทัศน์ เรื่อง Giant Drop ยักษ์ตกตึก
กลับไปที่เนื้อหา
การลดความเร็วของเครื่องเล่นที่มีความเร็วสูงและอาจเป็นอันตรายถึงชีวิตได้อย่างเช่น Giant Drop ต้องใช้วิธีการที่ไม่พึ่งพาเครื่องกลที่อาจขัดข้องได้ ไม่พึ่งพาพลังงานไฟฟ้าจากแหล่งกำเนิดไฟฟ้าอื่น ๆ ที่อาจขัดข้องไฟฟ้าดับ วิธีการที่ใช้กันอย่างปลอดภัยนั้น อาศัยความรู้พื้นฐานเกี่ยวกับการเหนี่ยวนำแม่เหล็กไฟฟ้าซึ่งทำได้ไม่ยากนัก
หลักการคือ เมื่อมีฟลักซ์แม่เหล็กหรือเส้นสนามแม่เหล็กที่เรียกกันง่าย ๆ ว่าเส้นแรงแม่เหล็กที่เปลี่ยนแปลงผ่านขดลวดตัวนำ จะเกิดแรงเคลื่อนไฟฟ้าเหนี่ยวนำทำให้ขดลวดทำหน้าที่เสมือนเป็นเครื่องกำเนิดไฟฟ้า และถ้าขดลวดเป็นวงจรปิด จะเกิดกระแสไฟฟ้าเหนี่ยวนำในวงจรไฟฟ้า ซึ่งเป็นไปตามกฎการเหนี่ยวนำของฟาราเดย์ ที่สรุปได้ว่า แรงเคลื่อนไฟฟ้าเหนี่ยวนำที่เกิดขึ้นในขดลวด เป็นสัดส่วนกับอัตราการเปลี่ยนแปลงของฟลักซ์แม่เหล็กที่ผ่านขดลวดนั้นเมื่อเทียบกับเวลา ส่วนทิศทางของกระแสไฟฟ้าในขดลวดจะเป็นไปตาม กฎของเลนซ์ ซึ่งมีใจความว่า แรงเคลื่อนไฟฟ้าเหนี่ยวนำในขดลวด จะทำให้เกิดกระแสไฟฟ้าเหนี่ยวนำในทิศทางที่จะทำให้เกิดฟลักซ์แม่เหล็กใหม่ขึ้นมา ต้านการเปลี่ยนแปลงของ ฟลักซ์แม่เหล็กที่ผ่านขดลวดนั้น

ถ้าให้ฟลักซ์แม่เหล็กที่เปลี่ยนแปลงผ่านแผ่นโลหะ ก็จะเกิดกระแสไฟฟ้าเหนี่ยวนำขึ้นในแผ่นโลหะเช่นเดียวกัน แต่กระแสไฟฟ้าไม่สามารถผ่านออกสู่วงจรภายนอกได้เหมือนกับที่เกิดในขดลวด คงวนเวียนอยู่ที่แผ่นโลหะ เรียกว่า กระแสวน ทิศทางการวนจะทำให้เกิดฟลักซ์แม่เหล็กขึ้นใหม่ตามกฎของเลนซ์
ตัวกระเช้าของเครื่องเล่น Giant Drop มีครีบเป็นแผ่นทองเหลืองติดอยู่ เมื่อกระเช้าถูกปล่อยให้ตกอิสระ แผ่นทองเหลืองจะเคลื่อนที่ผ่านขั้วของแม่เหล็กถาวรที่ติดตั้งไว้ตั้งแต่พื้นจนถึงที่สูงขึ้นไปประมาณ 10 เมตร นั่นคือมีฟลักซ์แม่เหล็กผ่านแผ่นทองเหลือง การที่แผ่นทองเหลืองตกลงมาพร้อมกระเช้าด้วยความเร่งทำให้ฟลักซ์แม่เหล็กที่ผ่านแผ่นทองเหลืองไม่คงที่ เกิดกระแสวนในแผ่นทองเหลืองในทิศที่ทำให้เกิดฟลักซ์แม่เหล็กต่อต้านกับการเปลี่ยนแปลงของฟลักซ์แม่เหล็กจากแม่เหล็กถาวร นั่นคือเกิดแรงผลักกันระหว่างแม่เหล็กถาวรกับสนามแม่เหล็กจากกระแสวน กระเช้าจึงลดความเร็วลงจนหยุดนิ่งในที่สุด เป็นการเบรคโดยใช้แรงระหว่างสนามแม่เหล็ก (Magnetic Break)

วิดีทัศน์ เรื่อง Magnetic Break (Giant Drop)
กลับไปที่เนื้อหา
ความเร็วสัมพัทธ์ (Relative Velocity) เป็นความเร็วของวัตถุที่ผู้สังเกตมองเห็น หรือเป็นความเร็วของวัตถุที่เปรียบเทียบกับตัวผู้สังเกตเอง ถ้าผู้สังเกตอยู่นิ่งแล้วดูวัตถุที่กำลังเคลื่อนที่ก็จะเห็นวัตถุมีความเร็วในการเคลื่อนที่เท่ากับความเร็วจริง ๆ ของวัตถุทั้งขนาดและทิศทาง แต่ถ้าผู้สังเกตกำลังเคลื่อนที่ด้วยความเร็วและมองดูวัตถุที่กำลังเคลื่อนที่ก็จะเห็นวัตถุเคลื่อนที่ด้วยความเร็วที่เรียกว่าความเร็วสัมพัทธ์ ซึ่งทั้งขนาดและทิศทางจะผิดไปจากความเร็วจริงของวัตถุ ความเร็วสัมพัทธ์หาได้จากการบวกเวคเตอร์ของความเร็ว โดย
ความเร็วสัมพัทธ์ = ความเร็ววัตถุ - ความเร็วผู้สังเกต
( ความเร็วที่ติดลบหมายถึง ความเร็วที่มีขนาดเท่ากันแต่ทิศทางตรงกันข้าม)
ยกตัวอย่าง เรานั่งรถที่กำลังแล่นไปทางขวาด้วยความเร็ว 10 เมตรต่อวินาที รถที่แล่นสวนมามีความเร็ว 5 เมตรต่อวินาที

ความเร็วของเราซึ่งเป็นผู้สังเกตคือ
ดังนั้น - ความเร็วผู้สังเกต
ความเร็วสัมพัทธ์หรือความเร็วที่เรามองเห็น = ความเร็วของวัตถุ – ความเร็วผู้สังเกต หาได้จากการเขียนรูป

เวกเตอร์ผลลัพธ์ หาได้จากการลากเส้นลูกศรจากจุดเริ่มต้นไปยังจุดสุดท้าย ได้ 15 m/s นั่นคือ ความเร็วสัมพัทธ์ของรถคันที่แล่นสวนมาเป็น 15 m/s ทิศไปทางซ้าย หรือเราจะเห็นรถที่วิ่งสวนมามีความเร็ว 15 m/s คือเห็นว่ารถคันนั้นมีความเร็วมากกว่าปกตินั่นเอง
ในทางกลับกัน ถ้าเรากำลังเคลื่อนที่ไปทางขวาด้วยความเร็ว 10 m/s และมีรถอีกคันหนึ่งกำลังแซงเราขึ้นไปด้วยความเร็ว 12 m/s เราจะเห็นรถคันนั้นเคลื่อนที่ด้วยความเร็วสัมพัทธ์เช่นกัน

ความเร็วของเราซึ่งเป็นผู้สังเกตคือ
ดังนั้น - ความเร็วผู้สังเกต คือ
ความเร็วสัมพัทธ์หรือความเร็วที่เรามองเห็น = ความเร็วของวัตถุ – ความเร็วผู้สังเกต หาได้จากการเขียนรูป

ความเร็วสัมพัทธ์หรือความเร็วของวัตถุที่เราเห็นจะเป็น 2 m/s ทิศไปทางขวา นั่นคือเราจะเห็นรถคันที่แซงเรามีความเร็วเพียง 2 m/s ซึ่งช้าลงมาก
คำถาม
- ถ้าผู้สังเกตกับวัตถุกำลังเคลื่อนที่สวนกัน ผู้สังเกตจะเห็นวัตถุมีขนาดของความเร็วเป็นอย่างไร
- ถ้าผู้สังเกตกับวัตถุกำลังเคลื่อนที่ไปทางเดียวกัน ผู้สังเกตจะเห็นวัตถุมีขนาดของความเร็วเป็นอย่างไร

เครื่องเล่นที่มีชื่อเรียกว่า Condor หรือเหยี่ยวเวหา ในสยามพาร์คซิตี้ก็ใช้หลักการของความเร็วสัมพัทธ์ แกนกลางจะหมุนทำให้ชุดที่นั่งหมุนไป ในขณะเดียวกันนั้นชุดที่นั่งแต่ละชุดก็จะหมุนไปด้วยในทิศเดียวกัน ความเร็วของคนที่นั่งแต่ละคนก็จะเป็นความเร็วของแกนหมุนรวมกับความเร็วของชุดที่นั่ง ซึ่งเป็นความเร็วผลลัพธ์ของผู้นั่งนั่นเอง
ถ้าผู้สังเกตอยู่กับที่เช่น ยืนมองอยู่ข้างล่าง ความเร็วของผู้สังเกตมีค่าเป็นศูนย์ แบบนี้ ความเร็วของวัตถุที่ผู้สังเกตมองเห็นหรือความเร็วสัมพัทธ์ ก็จะมีค่าเท่ากับความเร็วผลลัพธ์
ในขณะที่นั่งชุดหนึ่งหมุนอยู่นั้นก็จะเคลื่อนที่สวนทางกับชุดที่นั่งข้างเคียงซึ่งเคลื่อนที่ด้วยความเร็วเท่ากัน ผู้สังเกตที่นั่งบนที่นั่งจึง มองเห็นคนที่นั่งในชุดข้างเคียงเคลื่อนที่ด้วยความเร็วสูงมาก

วิดีทัศน์ เรื่อง Condor เหยี่ยวเวหา
คำถาม
- ความเร็วผลลัพธ์ของคนที่นั่งในกระเช้าที่นั่ง เป็นความเร็วจากที่ใดบ้าง หาได้อย่างไร
- แกนของCondor หมุนในทิศทางเดียวกับการหมุนของชุดที่นั่ง ความเร็วลัพธ์ของผู้นั่งจะมีค่ามากที่สุด และน้อยที่สุดขณะผู้นั่งหมุนไปอยู่ที่ตำแหน่งใด
- ชุดที่นั่งของ Condor แต่ละชุดหมุนไปทางเดียวกัน ผู้นั่งจะมีโอกาสเคลื่อนที่สวนทางกันหรือไม่อย่างไร
กลับไปที่เนื้อหา

วัตถุที่กำลังเคลื่อนที่เป็นวงกลม จะต้องมีแรงกระทำต่อวัตถุในทิศเข้าหาศูนย์กลางของวงกลม เรียกว่า แรงสู่ศูนย์กลาง (centripetal force) แรงนี้จะทำให้วัตถุเปลี่ยนทิศของความเร็วซึ่งอยู่ในแนวเส้นสัมผัสของวงกลมทำให้วัตถุวิ่งเป็นวงกลมอยู่ได้ หากไม่มีแรงสู่ศูนย์กลางกระทำต่อวัตถุ วัตถุจะไม่เคลื่อนที่เป็นวงกลมแต่จะวิ่งไปในแนวเส้นสัมผัสแรงที่ทำหน้าที่เป็นแรงสู่ศูนย์กลางอาจเป็นแรงเสียดทานที่กระทำต่อวัตถุเมื่อวัตถุสัมผัสกับพื้น หรือเป็นแรงที่พื้นกระทำต่อวัตถุซึ่งแยกแรงมาอยู่ในแนวเข้าสู่ศูนย์กลางได้ กรณีผูกด้วยเชือกแล้วแกว่งเป็นวงกลมในแนวระดับ แรงดึงของเชือกก็จะทำหน้าที่เป็นแรงสู่ศูนย์กลาง เป็นต้น
การเคลื่อนที่แบบวงกลมมีลักษณะเฉพาะ โดยมีการเคลื่อนที่เป็นรอบ จำนวนรอบที่วัตถุเคลื่อนที่ได้ใน 1 หน่วยเวลา เรียกว่า ความถี่ (frequency) ใช้สัญลักษณ์ f มีหน่วยเป็นรอบต่อวินาทีหรือ เฮิรตซ์ (Hz) และถ้าวัตถุกำลังเคลื่อนที่เป็นวงกลมที่มีรัศมี r ด้วยอัตราสม่ำเสมอ อัตราเร็วของวัตถุ v จะหาได้จากสมการ
![]()
ขณะวัตถุกำลังเคลื่อนที่เป็นวงกลม แรงที่ทำหน้าที่เป็นแรงสู่ศูนย์กลาง (Fc) จะต้องมีขนาดเท่าใดนั้น จะสัมพันธ์กับมวลของวัตถุ (m) อัตราเร็วของวัตถุ (v) และรัศมีการเคลื่อนที่ (r) ตามสมการ
![]()

เครื่องเล่น Tagada Disco ของสยามพาร์คซิตี้ ใช้การหมุนของจานหมุนขนาดใหญ่ให้ผู้เล่นที่นั่งอยู่ขอบจานเคลื่อนที่เป็นวงกลม ระนาบของการหมุนเอียงเล็กน้อยและมีการเขย่าด้วยลูกสูบลมเพื่อให้รู้สึกตื่นเต้น จานหมุนจะมีราวเหล็กและพนักพิงอยู่โดยรอบ ขณะผู้เล่นเคลื่อนที่เป็นวงกลมไปพร้อมจานหมุน ก็จะถูกเหวี่ยงให้อัดตัวเข้ากับพนักพิง เกิดแรงที่พนักพิงดันผู้เล่นในทิศเข้าหาศูนย์กลาง และแรงเสียดทานที่เบาะที่นั่งกระทำต่อผู้เล่นก็มีทิศเข้าหาศูนย์กลางเช่นกัน แรงทั้งสองจึงทำหน้าที่เป็นแรงสู่ศูนย์กลาง
วิดีทัศน์ เรื่อง Tagada Disco
คำถาม
- จานหมุนของ Tagada Disco มีความยาวเส้นผ่านศูนย์กลาง 7 เมตร และหมุนในอัตรา 4 รอบใน 1 นาที ความถี่ในการหมุนของจานเป็นกี่เฮิรตซ์ และผู้เล่นเคลื่อนที่ด้วยอัตราเร็วกี่เมตรต่อวินาที
- ผู้เล่นที่มีมวล 50 กิโลกรัมจะต้องใช้แรงสู่ศูนย์กลางเท่าไร จึงจะเคลื่อนที่เป็นวงกลมไปพร้อมจานหมุน
กลับไปที่เนื้อหา

เมื่อปล่อยวัตถุมวล m จากที่สูงให้ลงมาตามรางรูปวงกลมในระนาบดิ่ง เมื่อไม่คิดแรงเสียดทานของราง วัตถุจะเปลี่ยนพลังงานศักย์โน้มถ่วงเป็นพลังงานจลน์ วัตถุจะเคลื่อนที่เร็วขึ้นเมื่อลงมาต่ำกว่าจุดปล่อยวัตถุมากขึ้น ขณะที่วัตถุเคลื่อนที่ถึงจุดต่ำสุดของวงกลม วัตถุจะมีความเร็วมากที่สุด แรงที่กระทำต่อวัตถุขณะนี้ จะมี 2 แรง คือ น้ำหนักของวัตถุ mg ทิศลงสู่พื้น และแรงที่รางดันวัตถุ N ทิศตั้งฉากกับรางวัตถุที่กำลังเคลื่อนที่เป็นวงกลมต้องมีแรงกระทำต่อวัตถุในทิศเข้าสู่ศูนย์กลาง ดังนั้น ขณะวัตถุเคลื่อนที่ผ่านจุดต่ำสุดของวงกลม แรงที่ทำหน้าที่เป็นแรงสู่ศูนย์กลางจะหาได้จาก
![]()
ขณะวัตถุผ่านจุดต่ำสุด จะเห็นได้ว่า แรงที่รางดันวัตถุจะมีขนาดมากกว่าน้ำหนักของวัตถุจึงจะมีแรงลัพธ์ในทิศเข้าสู่ศูนย์กลาง หรือวัตถุจะต้องกดรางลงไปด้วยแรงที่มากกว่าน้ำหนักของวัตถุนั่นเอง
เมื่อวัตถุเคลื่อนที่ต่อไปหาจุดสูงสุดของวงกลม ความเร็วของวัตถุจะลดลง ถ้าความเร็วของวัตถุน้อยเกินไปวัตถุจะขึ้นไปไม่ถึงจุดสูงสุด ดังนั้นขณะผ่านจุดสูงสุดของวงกลม วัตถุต้องมีความเร็วสูงพอ เพื่อให้ใช้แรงเข้าสู่ศูนย์กลางมากกว่าน้ำหนักของวัตถุ โดยวัตถุจะดันรางขึ้นไป ทำให้เกิดแรงที่รางดันวัตถุ N ทิศลงสู่พื้นรวมกับน้ำหนักวัตถุ mg ได้แรงลัพธ์ที่ทำหน้าที่เป็นแรงสู่ศูนย์กลาง นั่นคือ ขณะวัตถุเคลื่อนที่ผ่านจุดสูงสุดของวงกลมในระนาบดิ่ง แรงที่ทำหน้าที่เป็นแรงสู่ศูนย์กลางจะหาได้จาก
![]()
กรณีนี้จะเกิดได้เมื่อวัตถุเคลื่อนที่ผ่านจุดสูงสุดด้วยความเร็วสูงเกินค่าหนึ่ง ค่านั้นคือค่าความเร็วที่พอดีกับการใช้น้ำหนัก mg เพียงอย่างเดียวทำหน้าที่เป็นแรงสู่ศูนย์กลาง ด้วยความเร็วค่านี้ ขณะผ่านจุดสูงสุดวัตถุจะแค่สัมผัสกับรางเท่านั้นโดยไม่กดติดกับตัวราง

เครื่องเล่นประเภทรถไฟเหาะตีลังกาที่เรารู้จักกัน จะใช้หลักการเคลื่อนที่เป็นวงกลมในระนาบดิ่งของวัตถุทั้งสิ้น ขณะเครื่องเล่นเคลื่อนที่ผ่านจุดสูงสุดด้วยความเร็วสูงผู้เล่นจะยิ่งปลอดภัย เพราะ น้ำหนัก mg จะไม่เพียงพอต่อการเป็นแรงสู่ศูนย์กลาง ทำให้ผู้เล่นจะกดอัดตัวเข้ากับที่นั่งมากขึ้นเพื่อให้เกิดแรง N มาช่วยน้ำหนักmg ให้เพียงพอต่อการทำหน้าที่เป็นแรงสู่ศูนย์กลางนั่นเอง

เครื่องเล่นในสยามพาร์คซิตี้ที่ใช้หลักการนี้มีหลายเครื่อง เช่น Boomerang ซึ่งเป็นรถไฟเหาะตีลังกาทั้งเคลื่อนที่ไปข้างหน้าและถอยหลัง มีการใช้เครื่องยนต์ไฟฟ้าดึงรถไฟขึ้นบนที่สูงจนได้ระยะเพียงพอเท่านั้น หลังจากนั้นจะปล่อยให้วิ่งลงมาด้วยแรงดึงดูดของโลก ไปตามรางที่วนเป็นวงกลมในระนาบดิ่ง หรือ เครื่องเล่นที่เรียกว่า Vortex ซุปเปอร์เกลียวเหาะมหาสนุก ก็เช่นเดียวกันใช้หลักการเดียวกับรถไฟเหาะตีลังกา แต่ที่นั่งของผู้เล่นแยกเป็นอิสระ ไม่ติดอยู่กับขบวนรถ ทำให้ตื่นเต้นมากขึ้นในขณะเคลื่อนที่เครื่องเล่นอีกชนิดหนึ่งที่ใช้หลักการเคลื่อนที่เป็นวงกลมในระนาบดิ่ง คือ Enterprise กระเช้าสายรุ้ง ซึ่งใช้มอเตอร์ไฟฟ้า หมุนให้ผู้เล่นเคลื่อนที่เป็นวงกลมในระนาบระดับ และเมื่อมีความเร็วสูงพอก็จะยกแกนหมุนขึ้นจนเป็นการเคลื่อนที่แบบวงกลมในระนาบดิ่ง
วิดีทัศน์ เรื่อง Boomerang
วิดีทัศน์ เรื่อง Vortex ซุปเปอร์เกลียวเหาะมหาสนุก
วิดีทัศน์ เรื่อง Enterprise กระเช้าสายรุ้ง
คำถาม
- เครื่องเล่นแต่ละชนิด เคลื่อนที่โดยใช้แหล่งพลังงานใดบ้าง
- แรงเข้าสู่ศูนย์กลางที่ทำให้มีการเคลื่อนที่เป็นวงกลมของเครื่องเล่นแต่ละชนิดมาจากที่ใด
- Boomerang และ Vortex ซุปเปอร์เกลียวเหาะมหาสนุก หยุดการเคลื่อนที่ได้โดยวิธีใด
เอกสารอ้างอิง
ภาพจาก http://www.ux1.eiu.edu/~cfadd/1350/06CirMtn/VertCircle.html
กลับไปที่เนื้อหา
การเคลื่อนที่แบบซิมเปิลฮาร์มอนิกหรือการเคลื่อนที่แบบฮาร์มอนิกอย่างง่าย (simple harmonic motion) เป็นการเคลื่อนที่ของวัตถุกลับไปมาซ้ำทางเดิมผ่านตำแหน่งสมดุล โดยมีขนาดของการกระจัดสูงสุดคงตัว เรียกว่า แอมพลิจูด ช่วงเวลาที่วัตถุเคลื่อนที่ครบ 1 รอบ เรียกว่า คาบ ( T ) และจำนวนรอบที่วัตถุเคลื่อนที่ได้ใน 1 วินาที เรียกว่า ความถี่ f
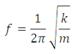
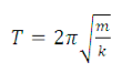
เมื่อผูกวัตถุเข้ากับยางยืดหรือปลายสปริง ห้อยในแนวดิ่ง ดึงวัตถุให้ยางหรือสปริงยืดออกเล็กน้อย แล้วปล่อย วัตถุก็จะสั่นขึ้นลง โดยการเคลื่อนที่ไปกลับทุกครั้งผ่านตำแหน่งสมดุล ที่จุดบนสุดและต่ำสุดซึ่งเป็นตำแหน่งที่มีการกระจัดมากที่สุด วัตถุจะมีอัตราเร็วเป็นศูนย์ และขณะวัตถุเคลื่อนผ่านตำแหน่งสมดุลซึ่งมีการกระจัดเป็นศูนย์ วัตถุจะมีอัตราเร็วมากที่สุด ความถี่ในการสั่นของวัตถุจะขึ้นกับมวลวัตถุที่ติดอยู่กับปลายยางหรือสปริง และขึ้นกับค่าคงตัวสปริง k (spring constant) ซึ่งเป็นค่าของแรงที่ทำให้สปริงยืดหรือหดได้ 1 หน่วยความยาว โดย ความถี่ในการสั่นของวัตถุที่ติดปลายสปริงหาได้จากความสัมพันธ์ ดังนี้

ส่วนคาบของการสั่น หรือเวลาที่ใช้ในการสั่นครบ 1 รอบจะหาได้จากความสัมพันธ์ต่อไปนี้

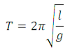
การเคลื่อนที่ของวัตถุที่เป็นการเคลื่อนที่แบบซิมเปิลฮาร์มอนิกที่ชัดเจนอีกลักษณะหนึ่งคือ การแกว่งของลูกตุ้มอย่างง่าย (simple pendulum) ซึ่งประกอบด้วยวัตถุมวล m แขวนห้อยที่ปลายเชือกยาว lโดยธรรมชาติจะแขวนห้อยในแนวดิ่งซึ่งเป็นตำแหน่งสมดุล เมื่อดึงวัตถุให้เชือกเอียงไปทำมุมกับแนวดิ่งเล็กน้อยแล้วปล่อย วัตถุจะแกว่งกลับไป มา ซ้ำทางเดิมผ่านตำแหน่งสมดุล ลูกตุ้มนาฬิกา ชิงช้า จะเป็นการแกว่งแบบเดียวกับลูกตุ้มอย่างง่าย
ความถี่และคาบในการแกว่งของลูกตุ้มจะสัมพันธ์กับความยาว l ที่วัดจากจุดแขวนไปจนถึงศูนย์กลางมวลของวัตถุ โดยไม่ขึ้นกับมวลที่แขวน

ความถี่ในการแกว่งหาได้จากความสัมพันธ์ต่อไปนี้

และคาบของการแกว่ง หาได้จากความสัมพันธ์ต่อไปนี้

เครื่องเล่นในสยามพาร์คซิตี้ที่มีการเคลื่อนที่เป็นแบบซิมเปิลฮาร์มอนิกหรือเคลื่อนที่แบบฮาร์มอนิกอย่างง่ายนี้ คือ Twin Dragon

ซึ่งตัววัตถุหรือที่นั่งทำเป็นรูปเรือมังกรสองหัว แขวนไว้กับจุดแขวนด้วยแขนโลหะยาว ประมาณ 15 เมตร ขณะแกว่งตัวเรือจะมีอัตราเร็วมากที่สุดขณะผ่านตำแหน่งสมดุลซึ่งอยู่ตรงตำแหน่งต่ำสุดและจะมีอัตราเร็วเป็นศูนย์ เมื่อแกว่งไปถึงตำแหน่งสูงสุด
วิดีทัศน์ เรื่อง Twin Dragon
คำถาม
- เรือ Twin Dragon แกว่งด้วยความถี่ประมาณเท่าไร ถ้าความยาวของแขนที่ใช้แกว่ง ยาว 15 เมตร
- ในการแกว่ง 1 รอบ เรือ Twin Dragon ใช้เวลากี่วินาที
กลับไปที่เนื้อหา
วัตถุที่กำลังเคลื่อนที่โดยมีอัตราเร็ว จะเรียกว่าวัตถุนั้นมี พลังงานจลน์ (kinetic energy : Ek ) พลังงานจลน์ในวัตถุจะมากน้อยเท่าไรขึ้นกับมวล (m )และอัตราเร็ว (v ) ของวัตถุ โดยมีความสัมพันธ์ดังนี้
![]()
พลังงานจลน์ของวัตถุจะเปลี่ยนไปถ้ามีงานที่เกิดจากแรงลัพธ์ซึ่งไม่เป็นศูนย์กระทำต่อวัตถุ
คำถาม
- สืบค้นข้อมูลเกี่ยวกับ งานกับการเปลี่ยนพลังงานจลน์ของวัตถุ
พลังงานในวัตถุที่ขึ้นกับตำแหน่งหรือสภาวะของวัตถุ เช่น พลังงานของวัตถุเมื่ออยู่ที่สูง พลังงานในสปริงที่ถูกยืดออกหรือหดสั้นกว่าปกติเหล่านี้ เรียกว่า พลังงานศักย์ (potential energy) วัตถุที่มีพลังงานศักย์ พร้อมที่จะทำงานต่อไปได้
ถ้าเราออกแรงเท่ากับน้ำหนักวัตถุ (mg) ยกวัตถุมวล m ขึ้นไปสูงจากระดับเดิม(ซึ่งอาจถือว่าเป็นระดับอ้างอิง) เป็นระยะ h ถ้าปล่อยมือ วัตถุจะตกลงมาด้วยแรงดึงดูดของโลก (mg) วัตถุขณะอยู่ที่สูงจากระดับอ้างอิงนี้จะมีพลังงานศักย์ที่เรียกว่า พลังงานศักย์โน้มถ่วง (gravitational potential energy : Ep ) โดยพลังงานศักย์โน้มถ่วงของวัตถุหาได้จากสมการ
![]()
โดย h = ความสูงจากระดับอ้างอิงซึ่งถือว่ามีพลังงานศักย์เป็นศูนย์ และการทำงานโดยออกแรงทำให้วัตถุมีพลังงานศักย์เพิ่มขึ้นนั้น ไม่ขึ้นกับเส้นทางการเคลื่อนที่ แต่ขึ้นกับระดับความสูงเพียงอย่างเดียว

ส่วนการดึงสปริงให้ยืดออกหรือหดจากตำแหน่งสมดุลจะทำให้เกิดพลังงานศักย์สะสมอยู่ในสปริงที่สามารถดึงหรือผลักวัตถุที่ติดกับสปริงให้เคลื่อนที่ไปได้ พลังงานศักย์ที่สะสมอยู่ในสปริงนี้ เรียกว่าพลังงานศักย์ยืดหยุ่น(elastic potential energy)

ขณะวัตถุตกจากที่สูงลงมา แต่ละขณะวัตถุมีทั้งพลังงานจลน์และพลังงานศักย์ ผลรวมของพลังงานจลน์และพลังงานศักย์เรียกว่า พลังงานกลรวมของวัตถุ เมื่อมีแต่แรงโน้มถ่วงโดยไม่มีแรงเสียดทานหรือแรงอื่นมากระทำต่อวัตถุแล้ว พลังงานกลรวมของวัตถุ ณ ตำแหน่งใด ๆ จะมีค่าคงตัวเสมอ ซึ่งเป็น กฎการอนุรักษ์พลังงานกล ถ้าปล่อยวัตถุจากจุดหยุดนิ่งจากที่สูง วัตถุจะมีพลังงานศักย์โน้มถ่วงแต่ไม่มีพลังงานจลน์ และขณะวัตถุกำลังตกลงมาด้วยแรงโน้มถ่วง พลังงานศักย์โน้มถ่วงของวัตถุจะลดลงเท่ากับพลังงานจลน์ของวัตถุที่เพิ่มขึ้น ในทางกลับกัน ถ้าโยนวัตถุขึ้นจากพื้นด้วยความเร็ว ขณะวัตถุเคลื่อนที่สูงขึ้น พลังงานงานจลน์ของวัตถุจะลดลงเท่ากับพลังงานศักย์โน้มถ่วงที่เพิ่มขึ้น

ในสถานการณ์จริง ส่วนมากผลรวมของพลังงานจลน์และพลังงานศักย์มีค่าไม่คงตัว เพราะมีแรงเสียดทานไปต้านการเคลื่อนที่ของวัตถุ งานของแรงเสียดทานจะทำให้พลังงานกลของระบบส่วนหนึ่งเปลี่ยนไปเป็นพลังงานอื่นเช่นความร้อนและเสียง แต่เมื่อรวมพลังงานส่วนนี้เข้ากับพลังงานกลแล้ว พลังงานรวมจะมีค่าคงตัว ซึ่งเป็นไปตาม กฎการอนุรักษ์พลังงาน(law of conservation of energy) ที่กล่าวว่า พลังงานรวมของระบบจะไม่สูญหาย แต่เปลี่ยนจากพลังงานหนึ่งไปเป็นอีกพลังงานหนึ่ง
เครื่องเล่นในสยามพาร์คซิตี้ที่มีการเปลี่ยนระดับความสูงทุกชนิด ใช้การเปลี่ยนพลังงานระหว่างพลังงานศักย์โน้มถ่วงกับพลังงานจลน์ โดยอาศัยกฎการอนุรักษ์พลังงานทั้งสิ้น เครื่องเล่นที่เห็นได้ชัดเจนว่ามีการเปลี่ยนพลังงานศักย์โน้มถ่วงเป็นพลังงานจลน์ได้แก่ เครื่องเล่นที่มีชื่อว่า Speed Slider และ Super Spiral

การเล่น Speed Slider และ Super Spiral ผู้เล่นต้องทำงานโดยการขึ้นบันไดไปจนถึงจุดสูงสุดของเครื่องเล่น ทำให้ผู้เล่นมีพลังงานศักย์โน้มถ่วง จากนั้นจึงจะปล่อยให้ตัวเองไถลลงมาตามราง ลงสู่ที่ต่ำ ทุกขณะพลังงานศักย์โน้มถ่วงจะเปลี่ยนเป็นพลังงานจลน์มีผลให้ผู้เล่นเคลื่อนที่ลงด้วยความเร็วมากขึ้น ๆ และเพื่อช่วยลดแรงเสียดทาน รางของเครื่องเล่นทั้งสองชนิดจึงมีน้ำหล่อเลี้ยงเพื่อลดแรงเสียดทานระหว่างผู้เล่นกับพื้นราง
รางของเครื่องเล่น Speed Slider บางช่วงจะอยู่ในแนวราบ เพื่อชะลอให้พลังงานศักย์โน้มถ่วงเปลี่ยนเป็นพลังงานจลน์ไม่เร็วเกินไป ผู้เล่นจึงไถลลงมาด้วยความเร็วที่เหมาะสมไม่สูงจนเกินไป
วิดีทัศน์ เรื่อง Speed Slider
คำถาม
- ถ้ารางของ Speed Slider เอียงลงมาตรง ๆ โดยไม่มีช่วงที่อยู่ในแนวระดับ นักเรียนคิดว่าผล
จะเป็นอย่างไร
- ถ้าไม่มีน้ำช่วยหล่อเลี้ยงพื้นราง นักเรียนคิดว่าผลจะเป็นอย่างไร
ส่วนเครื่องเล่น Super Spiral นั้น การเคลื่อนที่ของผู้เล่นจะเลี้ยวเป็นทางโค้งไปตามรางที่มีน้ำหล่อเลี้ยงเพื่อลดแรงเสียดทาน ในขณะเลี้ยวโค้งผู้เล่นต้องเบียดตัวเข้ากับขอบรางด้านนอกโค้ง เพื่อให้เกิดแรงที่ขอบรางดันผู้เล่นในทิศเข้าหาศูนย์กลาง ขอบรางด้านนอกโค้งจึงต้องทำให้สูงกว่าด้านในโค้งเพื่อป้องกันไม่ให้ผู้เล่นไถลออกนอกโค้ง
วิดีทัศน์ เรื่อง Super Spiral
คำถาม
- ถ้าขอบรางบริเวณที่มีการเลี้ยวโค้ง มีความสูงเพียงเล็กน้อย ผลจะเป็นอย่างไร เพราะเหตุใด
เอกสารอ้างอิง
http://www.people.vcu.edu/~rgowdy/mod/020/xmp4.htm
กลับไปที่เนื้อหา

ไดโนเสาร์ (Dinosaurs) จัดเป็นสัตว์เลื้อยคลานชนิดหนึ่งที่เคยมีชีวิตอยู่เมื่อประมาณ 165 ล้านปีก่อน แต่ได้สูญพันธ์ไปจนหมดเมื่อ 65 ล้านปีมาแล้ว จากโครงกระดูกซากไดโนเสาร์ที่ขุดพบในพื้นที่ต่าง ๆ สรุปได้ว่า ไดโนเสาร์ปรากฏบนโลกประมาณกลางยุค Triassic ( 245 ล้านปี – 208 ล้านปีก่อน) และมีการขยายพันธุ์ ตลอดจนมีชนิดเพิ่มมากขึ้นตลอดยุค Jurassic ( 208 ล้านปี – 144 ล้านปีมาแล้ว) และได้สูญพันธุ์ไปหมดในช่วงต้นของยุค Cretaceous ( 144 ล้านปี – 65 ล้านปีก่อน)

คำถาม
- สืบค้นข้อมูลเกี่ยวกับมหายุค (Era) และยุค (Period)ต่าง ๆ ของโลก ตลอดจนเหตุการณ์สำคัญที่เกิดในยุคต่าง ๆ
ไดโนเสาร์มีขนาดต่าง ๆ กันใหญ่ที่สุดจะยาวมากกว่า 30 เมตร สูงกว่า 15 เมตรมีน้ำหนักมากกว่า 70 ตัน ส่วนเล็กที่สุดมีขนาดประมาณไก่เท่านั้น ตัวอย่างไดโนเสาร์ขนาดใหญ่เช่น Argentinosaurus, Ultrasaurus,Brachiosaurus,Supersaurus ส่วนไดโนเสาร์ที่พบว่ามีขนาดเล็กที่สุด คือ Compsognathus
Argentinosaurus

Argentinosaurus Ultrasaurus
Supersaurus

Compsognathus
ไดโนเสาร์ส่วนมากเป็นสัตว์กินพืช แต่มีบางชนิดที่กินเนื้อ เช่น Tyrannosaurus rex หรือ T-rex ที่เรารู้จักกันดี

Tyrannosaurus rex
วิดีทัศน์ เรื่อง Dinotopia พิพิธภัณฑ์ไดโนเสาร์
คำถาม
- สืบค้นข้อมูลเกี่ยวกับไดโนเสาร์ชนิดต่าง ๆ
เอกสารอ้างอิง
Dinosaur Timeline จาก http://www.enchantedlearning.com/subjects/dinosaurs/
Compsognathus จาก http://www.enchantedlearning.com/subjects/dinosaurs/
Argentinosaurus จาก http://www.absolutelyprehistoric.com/
Ultrasaurus จาก http://flickrhivemind.net/Tags/ultrasaurus/Interesting/prehistoric_creatures.php
Supersaurus จาก http://www.bhbfonline.org/Specimens/index.html
Compsognathus จาก http://www.3dm3.com/forum/f195/compsognathus-hcosta-22013/
Tyrannosaurus rex จาก http://www.rareresource.com/pho_tyrannosaurus%20rex.htm
กลับไปที่เนื้อหา
วัสดุอุปกรณ์
1. แท่งแม่เหล็กสี่เหลี่ยมแบนชนิดขั้วด้านข้าง 2 แท่ง
2. เหล็กรูปตัว U สำหรับติดแท่งแม่เหล็ก 1 อัน
3. แผ่นโลหะที่ไม่ใช่สารแม่เหล็ก เช่นแผ่นอลูมิเนียม ทองแดงหรือทองเหลืองขนาด 5 x 7 cm. 1 แผ่น
4. ขาตั้งสำหรับจับหลอดทดลอง 1 ชุด (แสตนด์เคมี)
5. แถบกระดาษแข็งขนาด 1 cm x 50 cm 1 ชิ้น
วิธีทำ
1. ติดปลายหนึ่งของแถบกระดาษแข็งเข้ากับกึ่งกลางด้านยาวของแผ่นโลหะ เจาะรูที่ปลายแถบ กระดาษอีกปลายหนึ่ง ดังรูป

2. นำแถบกระดาษด้านที่เจาะรูเกี่ยวแขวนกับขาตั้ง จัดให้แกว่งได้คล่องในระนาบดิ่ง
3. ดึงแผ่นโลหะให้เบนไปด้านข้างประมาณ 45 องศา ปล่อยให้แกว่งอย่างอิสระ สังเกตผล
4. ติดแท่งแม่เหล็กเข้ากับแผ่นเหล็กรูป U ให้ขั้วต่างกันหันเข้าหากัน
5. นำเหล็กรูป U วางบนพื้นราบ จัดให้แผ่นโลหะแกว่งผ่านช่องว่างระหว่างขั้วแม่เหล็กได้พอดี
6. ดึงแผ่นโลหะให้เบนไป ประมาณ 45 องศา ปล่อยให้แผ่นโลหะแกว่งผ่านช่องว่างระหว่างขั้วแม่เหล็ก สังเกตผล
คำถาม
- การแกว่งของแผ่นโลหะที่ไม่ผ่านขั้วแม่เหล็ก แตกต่างจากการแกว่งผ่านขั้วแม่เหล็กหรือไม่อย่างไร
- ขณะแผ่นโลหะแกว่งผ่านขั้วแม่เหล็ก มีการเปลี่ยนแปลงของสนามแม่เหล็กที่ผ่านแผ่นโลหะ หรือไม่ อย่างไร
- เกิดแรงเคลื่อนไฟฟ้าเหนี่ยวนำในแผ่นโลหะหรือไม่ เพราะเหตุใด
กลับไปที่เนื้อหา
-
คลังรูปภาพ
ชื่อ GalleryCondorGalleryชื่อ GalleryDinotopiaGalleryชื่อ GalleryBoomerangeGalleryชื่อ GalleryEnterpriseGalleryชื่อ GalleryGiant DropGalleryชื่อ GallerySpeed SliderGalleryชื่อ GallerySuper SpiralGalleryชื่อ GalleryTagada DiscoGalleryชื่อ GalleryTwin DragonGalleryชื่อ GalleryVortexGalleryชื่อ GalleryทะเลเทียมGalleryชื่อ GalleryสวนสยามGalleryชื่อ GalleryภาพพาโนรามาGallery
-
คลังวิดีทัศน์
ตอน สยาม พาร์ค ซิตี้
-
คำที่เกี่ยวข้อง
