แหล่งเรียนรู้ศูนย์วิทยาศาสตร์เพื่อการศึกษา

ศูนย์วิทยาศาสตร์เพื่อการศึกษา เป็นหน่วยงานที่ทำหน้าที่สื่อสารวิทยาศาสตร์ ดาราศาสตร์ให้กับ นักเรียน นักศึกษา และประชาชนทั่วไป ผ่านนิทรรศการ การแสดงของท้องฟ้าจำลอง ห้องปฏิบัติการ กิจกรรมการศึกษา และสื่อสังคมออนไลน์
กลับไปที่เนื้อหา
ศูนย์วิทยาศาสตร์เพื่อการศึกษา ตั้งอยู่เลขที่ 928 บนถนนสุขุมวิท เขตคลองเตย กรุงเทพมหานคร

กลับไปที่เนื้อหา
ศูนย์วิทยาศาสตร์เพื่อการศึกษา ตั้งอยู่ใจกลางกรุงเทพมหานคร จึงสามารถเดินทางมาได้อย่างสะดวก
การเดินทางมาด้วยรถไฟฟ้าบีทีเอส ให้ลงที่สถานทีเอกมัย ใช้ทางออกที่ 2 เมื่อลงบันไดถึงทางเดินเท้าแล้วให้เดินย้อนกลับมาทางสถานีขนส่งภาคตะวันออกประมาณ 100 เมตร ศูนย์วิทยาศาสตร์เพื่อการศึกษาจะอยู่ทางซ้ายมือ
การเดินทางด้วยรถประจำทาง สามารถใช้รถประจำทางสาย 2 25 38 40 48 149 511 ได้ และหากเดินทางมาด้วยรถยนต์ส่วนตัว ทางศูนย์วิทยาศาสตร์เพื่อการศึกษามีที่จอดรถกลางแจ้งให้
กลับไปที่เนื้อหา
ประเทศไทยได้เล็งเห็นความสำคัญของการใช้ประโยชน์จากท้องฟ้าจำลองในการเรียนรู้ด้านดาราศาสตร์ ดังนั้นในปี พ.ศ. 2504 กระทรวงศึกษาธิการจึงจัดทำโครงการสร้างท้องฟ้าจำลองและหอดูดาวขึ้น เมื่อแล้วเสร็จท้องฟ้าจำลองนี้ได้รับพระราชทานนามว่า “ท้องฟ้าจำลองกรุงเทพ” โดยมีพระบาทสมเด็จพระเจ้าอยู่หัวและสมเด็จพระนางเจ้าฯ พระบรมราชินีนาถ ทรงพระกรุณาโปรดเกล้าฯ เสด็จพระราชดำเนินประกอบพิธีเปิดท้องฟ้าจำลองกรุงเทพอย่างเป็นทางการเมื่อวันที่ 18 สิงหาคม พ.ศ. 2507
ต่อมารัฐได้เล็งเห็นว่า ควรมีการขยายองค์ความรู้ด้านอื่นนอกจากด้านดาราศาสตร์ จึงมีโครงการสร้าง “พิพิธภัณฑ์วิทยาศาสตร์” อาคาร 2 และ อาคาร 3 เพื่อให้ความรู้ด้านวิทยาศาสตร์กายภาพและโลกใต้น้ำ เมื่อการก่อสร้างแล้วเสร็จ พระบาทสมเด็จพระเจ้าอยู่หัว ทรงพระกรุณาโปรดเกล้าฯ เสด็จพระราชดำเนินประกอบพิธีเปิดอย่างเป็นทางการเมื่อวันที่ 9 สิงหาคม พ.ศ. 2522
หลังจากนั้นมีการสร้าง อาคาร 4 และเปิดใช้ในปี พ.ศ. 2532 อาคาร 4 เป็นอาคารสำนักงานและใช้เป็นอาคารนิทรรศการที่ให้ความรู้ด้านธรรมชาติวิทยา
ในปี พ.ศ. 2537 ได้มีการเปลี่ยนชื่อจาก “พิพิธภัณฑ์วิทยาศาสตร์” มาเป็น “ศูนย์วิทยาศาสตร์เพื่อการศึกษา” โดยมีการควบรวมเอา “ท้องฟ้าจำลองกรุงเทพ” เข้ามาด้วย
ในปี พ.ศ. 2546 ได้มีการผนวกสนามกีฬาบ้านกล้วยที่มีสระว่ายน้ำ สนามเทนนิส และสนามฟุตบอลเข้ามารวมกับศูนย์วิทยาศาสตร์เพื่อการศึกษา กลายเป็นส่วนของวิทยาศาสตร์สุขภาพ ซึ่งเป็นอาคารที่ 5 และ 6 ของศูนย์ฯ
ในปัจจุบัน ศูนย์วิทยาศาสตร์เพื่อการศึกษา เป็นศูนย์วิทยาศาสตร์ที่มีอายุมากที่สุด ขนาดใหญ่ที่สุด และมีความหลากหลายมากที่สุดในประเทศไทย และเป็นองค์กรที่ทำหน้าที่สื่อสารวิทยาศาสตร์ที่ประชาชนนึกถึงเป็นลำดับแรก ๆ
วีดิทัศน์เรื่องศูนย์วิทยาศาสตร์เพื่อการศึกษา
กลับไปที่เนื้อหา
เซลล์แสงอาทิตย์ (Solar Cell) เป็นอุปกรณ์ทางอิเล็กทรอนิกส์ที่สามารถเปลี่ยนพลังงานแสงให้เป็นพลังงานไฟฟ้าได้โดยตรง ปัจจุบันมีการใช้เซลล์แสงอาทิตย์ในการผลิตไฟฟ้ามากขึ้นทั้งในภาคครัวเรือนและเชิงพาณิชย์ เนื่องจากเซลล์แสงอาทิตย์มีราคาถูกลง และรัฐบาลให้การสนับสนุนการใช้พลังงานหมุนเวียนอย่างพลังงานแสงอาทิตย์ในการผลิตไฟฟ้า เพื่อลดปริมาณการใช้เชื้อเพลิงฟอสซิลอย่างน้ำมันดิบและแก๊สธรรมชาติ
เซลล์แสงอาทิตย์ส่วนใหญ่ผลิตมาจากสารกึ่งตัวนำอย่างซิลิคอนเพราะมีราคาถูกและพบมากในโลก เราแบ่งเซลล์แสงอาทิตย์ออกเป็น 4 ชนิดคือ
1) เซลล์แสงอาทิตย์ชนิดซิลิคอนผลึกเดี่ยว (Single Crystalline Silicon Solar Cell) ลักษณะเป็นแผ่นแข็งและบาง มีราคาสูง มีประสิทธิภาพในการเปลี่ยนพลังงานแสงอาทิตย์เป็นพลังงานไฟฟ้าประมาณ ร้อยละ 10-16 ของพลังงานแสงอาทิตย์ที่ตกกระทบ หรือมักกล่าวสั้น ๆ คือมีประสิทธิภาพประมาณ 10-16%
2) เซลล์แสงอาทิตย์ชนิดซิลิคอนหลายผลึก (Polycrystalline Silicon Solar Cell) ลักษณะเป็นแผ่นแข็งและบาง ราคาถูกกว่าชนิดซิลิคอนผลึกเดี่ยว มีประสิทธิภาพประมาณ 10-14.5%
3) เซลล์แสงอาทิตย์ชนิดอะมอร์ฟัสซิลิคอน (Amorphous Silicon Solar Cell) ลักษณะเป็นฟิล์มบาง ผลิตได้ง่ายและราคาถูก แต่มีประสิทธิภาพต่ำ ประมาณ 4-9%
4) เซลล์แสงอาทิตย์ชนิดที่ทำจากสารกึ่งตัวนำอื่น ๆ เช่น แกลเลียมอาร์เซไนด์ (GaAs) แคดเมียมเทลเลอไรด์ (CdTe) และคอปเปอร์อินเดียมไดเซเลไนด์ (CIS) มีทั้งชนิดผลึกเดี่ยวและผลึกรวม โดยเซลล์แสงอาทิตย์ที่ทำจากแกลเลียมอาร์เซไนด์มีประสิทธิภาพสูงถึงประมาณ 25% มีราคาแพงมาก
โครงสร้างหลักของเซลล์แสงอาทิตย์จะสร้างจากสารกึ่งตัวนำชนิดพีและชนิดเอ็น เมื่อแสงตกกระทบบนแผ่นเซลล์ จะเกิดการถ่ายเทพลังงานให้กับอิเล็กตรอนในสารกึ่งตัวนำจนมีพลังงานมากพอที่จะเคลื่อนที่ได้อย่างอิสระ เมื่อต่อวงจรไฟฟ้าเข้าไป ทำให้มีการไหลของอิเล็กตรอนครบวงจร เกิดกระแสไฟฟ้าขึ้น ซึ่งไฟฟ้าที่ได้จะเป็นไฟฟ้ากระแสตรง หากต้องการใช้กับอุปกรณ์ไฟฟ้ากระแสสลับตามบ้านเรือนหรือเก็บสะสมพลังงานไว้ใช้ต่อไปโดยไม่เชื่อมต่อระบบจำหน่ายไฟฟ้า (Off Grid) ต้องมีอุปกรณ์อื่น ๆ ที่สำคัญร่วมด้วย ได้แก่เครื่องควบคุมการประจุ (Charge Controller) ทำหน้าที่ควบคุมการอัดหรือคายประจุ แบตเตอรี่ (Battery) ทำหน้าที่เก็บพลังงานไฟฟ้า และเครื่องแปลงกระแสไฟฟ้า (Inverter) ทำหน้าที่เปลี่ยนไฟฟ้ากระแสตรงให้เป็นไฟฟ้ากระแสสลับ แต่หากมีการเชื่อมต่อกับระบบจำหน่ายไฟฟ้า (On Grid) ก็ไม่จำเป็นต้องมีแบตเตอรี่เพื่อเก็บพลังงานไฟฟ้า

รูปที่ 1 หลักการทำงานของเซลล์แสงอาทิตย์

รูปที่ 2 ระบบผลิตกระแสไฟฟ้าจากเซลล์แสงอาทิตย์แบบไม่เชื่อมต่อระบบจำหน่ายไฟฟ้า
วีดิทัศน์เรื่องอาคารธรรมชาติและสิ่งแวดล้อม
กลับไปที่เนื้อหา
ประสาทสัมผัส (senses) เป็นความสามารถของสิ่งมีชีวิตในการรับรู้สภาพแวดล้อมรอบตัว โดยพื้นฐานแล้วเราสามารถแบ่งประสาทสัมผัสของมนุษย์ได้ 5 อย่าง คือ การมองเห็น การได้ยิน การรู้รส การดมกลิ่น และการสัมผัส
มนุษย์ใช้ตาในการมองเห็น ตาของมนุษย์รับแสงจากวัตถุ ผ่านกระจกตา (Cornea) และเลนส์ตา (Lens) ไปตกกระทบที่จอประสาทตา (retina) ซึ่งส่งภาพดังกล่าวเป็นสัญญาณไฟฟ้าไปยังสมองให้สมองทำการประมวลผลเห็นเป็นภาพต่าง ๆ มนุษย์มีตาสองข้างทำให้มองเห็นวัตถุเป็น 3 มิติ ตาของมนุษย์รับแสงที่ความยาวคลื่น ตั้งแต่ 380 นาโนเมตร ถึง 750 นาโนเมตร ซึ่งเราเรียกแสงในช่วงความยาวคลื่นนี้ว่า Visible light (ความยาวคลื่นแสงที่มนุษย์สามารถมองเห็นได้)

รูปที่ 1 แสดงโครงสร้างของตา
มนุษย์ใช้หูในการได้ยิน เมื่อคลื่นเสียงเดินทางเข้าสู่หูของมนุษย์ คลื่นเสียงจะทำให้ เยื่อแก้วหู (Ear Drum) เกิดการสั่น และส่งผ่านการสั่นนี้ไปยัง ค้อน (Malleus) ทั่ง (Incus) และโกลน (Stapes) อวัยวะทั้ง 3 นี้ก็จะขยายการสั่นให้มากขึ้นและส่งผ่านการสั่นไปยังหูชั้นในซึ่งมีคอเคลีย (Cochlea) ภายในคลอเคลียมีของเหลวและมีแฮร์เซลล์ (Hair Cell) อยู่โดยรอบ การสั่นทำให้ของเหลวในคอเคลียมีการเคลื่อนไหวจนแฮร์เซลล์มีการเปลี่ยนรูปร่าง ส่งเป็นสัญญาณไปยังสมอง แปลผลเป็นเสียงต่าง ๆ หูของมนุษย์สามารถได้ยินเสียงตั้งแต่ความถี่ 20Hz ถึง 20,000Hz

รูปที่ 2 แสดงโครงสร้างของหู
มนุษย์ใช้ลิ้นในการรับรส บนลิ้นของเรามีตุ่มรับรส (Taste Buds) อยู่เต็มไปหมด การรับรสเป็นการตอบสนองของตุ่มรับรสต่อสารเคมีต่าง ๆ ที่อยู่ในอาหาร รสโดยพื้นฐานทั่วไปมี รสหวาน รสเปรี้ยว รสเค็ม และรสขม ตุ่มรับรสเหล่านี้จะส่งสัญญาณไฟฟ้าไปยังสมองให้สมองแปรผลการรับรส

ภาพที่ 3 แสดงลิ้นและตุ่มรับรส (Taste Buds)
http://static.howstuffworks.com/gif/taste-6.gif
มนุษย์ใช้ผิวหนังในการรับรู้ถึงการสัมผัส ผิวหนังของเราประกอบไปด้วยเซลล์ประสาทรับความรู้สึกจำนวนมาก เซลล์ประสาทเหล่านี้สามารถตอบสนองต่อแรงกด อุณหภูมิ และความเจ็บปวดได้ และสามารถส่งสัญญาณไปยังสมอง เพื่อใช้เป็นข้อมูลให้มนุษย์รับรู้ถึงสภาวะแวดล้อมที่อยู่รอบตัวและสามารถหลีกพ้นจากอันตรายต่าง ๆ ได้

รูปที่ 4 แสดงให้เห็นปลายเซลล์ประสาท (Sensory Nerve Ending) ในผิวหนัง
วีดิทัศน์เรื่องชีวิตพิศวง
กลับไปที่เนื้อหา
โลกของเราเกิดมาเมื่อประมาณ 4,600 ล้านปีที่แล้ว ในช่วงแรกของการเกิดโลก ระบบสุริยะของเรายังไม่สงบ มีการชนกันของสสารในระบบสุริยะมากมาย มีอุกกาบาตขนาดใหญ่ตกลงมาบนโลกอยู่เป็นประจำ ประกอบกับมีการเกิดภูเขาไฟระเบิดจำนวนมาก จึงทำให้ในอากาศของโลกเต็มไปด้วยก๊าซชนิดต่าง ๆ ที่ไม่เหมาะสมกับการดำรงชีพของสิ่งมีชีวิต ดังนั้นไม่มีสิ่งมีชีวิตใด ๆ อยู่เลย ในยุคแรกสุดของโลก
เมื่อโลกสงบ สิ่งมีชีวิตก็เริ่มต้นถือกำเนิดขึ้น สิ่งมีชีวิตแรก ๆ เป็นสาหร่ายพวกไซยาโนแบคทีเรีย (สาหร่ายสีเขียวแกมน้ำเงิน) เป็นสิ่งมีชีวิตที่โครงร่างไม่ซับซ้อน ยุคนี้คือยุคพรีแคมเบรียน (Precambrian) มีอายุเมื่อ 2500 ล้านปีที่แล้ว จากนั้นสิ่งมีชีวิตเริ่มมีวิวัฒนาการเป็นสัตว์ที่มีโครงสร้างซับซ้อนในยุคแคมเบรียน (Cambrian) เมื่อ 545 ล้านปีที่แล้ว และวิวัฒนาการลำดับต่อมาคือ สัตว์ใน ยุคออร์โดวิเชียน (Ordovician) ยุคไซลูเรียน (Silurian) และยุคดีโวเนียน (Devonian) ในยุคเหล่านี้สัตว์อยู่ในน้ำทั้งหมด หลังจากนี้สัตว์ต่าง ๆ จะวิวัฒนาการขึ้นบกซึ่งเราเรียกยุคนี้ว่ายุคคาร์บอนิเฟอรัส (Carboniferous) และเพอร์เมียน (Permian) ซึ่งเป็นยุคสุดท้ายก่อนเริ่มต้นยุคไดโนเสาร์
ยุคไดโนเสาร์มีทั้งหมด 3 ยุค คือ
ยุคไทรแอสซิก (Triassic) มีอายุระหว่าง 248 ถึง 206 ล้านปีที่แล้ว ไดโนเสาร์มีสายพันธุ์ไม่หลากหลายและตัวมีขนาดไม่ใหญ่มาก ส่วนใหญ่เป็นพวกกินเนื้อ
ยุคจูแรสซิก (Jurassic) มีอายุระหว่าง 206 ถึง 144 ล้านปีที่แล้ว ในยุคนี้ไดโนเสาร์เป็นสัตว์ที่ครองโลก ไดโนเสาร์สายพันธ์ใหม่ ๆ ก็ถือกำเนิดขึ้น เนื่องจากโลกมีความอุดมสมบูรณ์มาก มีต้นไม้และพืชพรรณมากมาย
ยุคครีเทเชียส (Cretaceous) มีอายุระหว่าง146 ถึง 127 ล้านปีที่แล้ว ในยุคนี้โลกมีอากาศอบอุ่น ไดโนเสาร์ ยังคงเป็นสัตว์ที่ครองโลกอยู่ แต่ก็มีสัตว์เลี้ยงลูกด้วยนม นก และพืชมีดอกวิวัฒนาการเพิ่มขึ้นมา ยุคนี้สิ้นสุดลงด้วยการสูญพันธ์ใครใหญ่ของไดโนเสาร์ เปิดโอกาสให้สัตว์ชนิดอื่นรวมถึงสัตว์เลี้ยงลูกด้วยนมได้ขยายตัวและมีบทบาทมากขึ้นบนโลกของเราในยุคต่อ ๆ มา
หลักฐานที่ทำให้ทราบว่าครั้งหนึ่งเคยมีสิ่งมีชีวิตขนาดใหญ่มากเกิดขึ้นบนโลก คือ ฟอสซิลหรือซากสิ่งมีชีวิต หากพบว่าบริเวณใดน่าจะมีซากฟอสซิลอยู่ ผู้พบเห็นต้องแจ้งไปยังกรมทรัพยากรธรณีเพื่อทำการตรวจสอบ ซึ่งการขุดค้นนี้ จะทำโดยผู้เชี่ยวชาญเท่านั้น ประชาชนทั่วไป ไม่ได้รับอนุญาตให้ครอบครอง ประเทศไทยมีการขุดค้นไดโนเสาร์มาเป็นเวลานาน และมีไดโนเสาร์สายพันธ์ของไทย เช่น ภูเวียงโกซอรัสสิรินธรเน และ สยามโมไทรันนัส พบที่จังหวัดขอนแก่น อิสานโนซอรัสอรรถวิภัชชิ พบที่จังหวัดชัยภูมิ เป็นต้น
วีดิทัศน์เรื่องเปิดปประตูสู่โลกดึกดำบรรพ์
กลับไปที่เนื้อหา
ทรงกลมฟ้า
ทรงกลมฟ้า (celestial sphere) เป็นทรงกลมที่สามารถช่วยให้เราเข้าใจการเคลื่อนที่ของดวงดาวจากการหมุนรอบตัวเองของโลกได้ ทรงกลมฟ้าเป็นทรงกลมในจินตนาการมีจุดศูนย์กลางจุดเดียวกันกับโลก มีขั้วฟ้าเหนือ (north celestial pole) อยู่เหนือขั้วโลกเหนือ มีขั้วฟ้าใต้ (south celestial pole) อยู่เหนือขั้วโลกใต้ และมีเส้นศูนย์สูตรฟ้า (celestial equator) อยู่เหนือเส้นศูนย์สูตรของโลก ส่วนเส้นสมมติบนโลกอื่น ๆ (ละติจูดและลองจิจูด) ก็จะแสดงเป็นเส้นสมมติบนทรงกลมฟ้าได้เช่นเดียวกัน
รูปที่ 1 แสดงทรงกลมฟ้าและองค์ประกอบขอทรงกลมฟ้า
ในการศึกษาการเคลื่อนที่ของดวงดาวที่เกิดจากการหมุนรอบตัวเองของโลก เราจะสมมติให้ดวงดาวทุกดวงอยู่ห่างจากโลกเท่ากันและอยู่บนทรงกลมฟ้าเดียวกัน เมื่อเราจินตนาการการเรียงตัวของดวงดาวเป็นรูป คน สัตว์ หรือสิ่งของ ทำให้เรามองเห็นดวงดาวต่าง ๆ เป็นกลุ่มดาวอยู่บนทรงกลมฟ้า ในปัจจุบันมีกลุ่มดาวตามหลักสากลอยู่บนท้องฟ้าทั้งหมด 88 กลุ่ม และพื้นที่ของทรงกลมฟ้าก็ถูกแบ่งออกเป็น 88 ส่วนตามกลุ่มดาวด้วย

รูปที่ 2 แสดทรงกลมฟ้าที่เต็มไปด้วยกลุ่มดาว
การกำหนดตำแหน่งของกลุ่มดาว ดวงดาว และวัตถุท้องฟ้าอื่น ๆ บนทรงกลมฟ้า จะใช้ระบบพิกัดทรงกลมฟ้า (celestial coordinate system) ระบบนี้มีตัวแปรสองตัวคือ R.A. – Right Ascension และ DEC – Declination
R.A. เป็นระยะทางเชิงมุม เริ่มจากจุดวสันตวิษุวัต (vernal equinox) กวาดไปทางทิศตะวันออก ในหนึ่งรอบมีค่าเท่ากับ 24 ชั่วโมง
DEC เป็นระยะทางเชิงมุมจากเส้นศูนย์สูตรฟ้าขึ้นไปที่ขั้วฟ้าเหนือหรือลงไปที่ขั้วฟ้าใต้ ที่เส้นศูนย์สูตรฟ้า DEC มีค่าเป็น 0 องศา ที่ขั้วโลกเหนือ DEC มีค่าเป็น +90 องศา และที่ขั้วโลกใต้ DEC มีค่าเป็น -90 องศา
รูปที่ 3 แสดง Right Ascension และ Declination ซึ่งเป็นตัวแปรที่กำหนดตำแหน่งของวัตถุฟ้า
ดาวฤกษ์มีค่า R.A. และ DEC ที่ค่อนข้างคงที่ เนื่องจากดาวฤกษ์อยู่ไกลมาก จนไม่สามารถสังเกตเห็นการเคลื่อนที่ได้ ส่วนดาวเคราะห์ในระบบสุริยะนั้นจะมีค่า R.A. และ DEC เปลี่ยนแปลงอยู่ตลอดเวลา เนื่องจากอยู่ใกล้ทำให้เราสังเกตเห็นการเคลื่อนที่ของดาวเคราะห์ได้ชัดเจน
การเคลื่อนที่ประจำวันของดวงดาว
ในทุก ๆ วันเราสังเกตเห็นดวงอาทิตย์ ดวงจันทร์ และดวงดาวส่วนใหญ่เคลื่อนที่จากทางทิศตะวันออกไปทางทิศตะวันตก การเคลื่อนที่นี้เรียกว่าการเคลื่อนที่ประจำวันของวัตถุฟ้าหรือ Diurnal Motion ซึ่งเกิดจากการหมุนรอบตัวเองของโลก โลกเราหมุนรอบตัวเองแต่ทรงกลมฟ้าไม่หมุนตามไปด้วย ดังนั้นดวงดาวต่าง ๆ ที่อยู่บนทรงกลมฟ้าจึงเสมือนเคลื่อนที่สวนกับการหมุนรอบตัวเองของโลก
การสังเกตดูดวงดาวต่าง ๆ จากบนโลกเราสามารถใช้ระบบพิกัดเส้นขอบฟ้า (Horizontal Coordinated System) ระบบนี้จะตรึงอยู่กับผู้สังเกต มีองค์ประกอบหลัก ๆ คือ จุดยอดฟ้า (Zenith) เส้นขอบฟ้า (Horizon) ทิศทั้ง 4 ทิศ (cardinal points) มุมทิศ (Azimuth) และมุมเงย (Altitude)
มุมทิศ (Azimuth) เริ่มที่ทิศเหนือมีค่าเป็น 0 องศา กวาดไปทางตะวันออก ที่มุม 90 องศาเป็นทิศตะวันออก ที่มุม 180 องศาเป็นทิศใต้ และที่มุม 270 องศาเป็นทิศตะวันตก
มุมเงย (Altitude) ที่เส้นขอบฟ้ามีค่า 0 องศา และที่จุดยอดฟ้ามีค่า 90 องศา สำหรับระบบพิกัดเส้นขอบฟ้า มุมทิศและมุมเงยของดวงดาวจะเปลี่ยนไปเมื่อเวลาเปลี่ยนไป แต่เป็นระบบที่สะดวกสำหรับการดูดาว เราเพียงแค่ทราบมุมทิศและมุมเงยของวัตถุฟ้า ณ ช่วงเวลาหนึ่ง เราก็สามารถมองหาวัตถุฟ้านั้นได้
รูปที่ 4 แสดงระบบพิกัดเส้นขอบฟ้า
การฉายดาวในท้องฟ้าจำลองกรุงเทพ
จุดเด่นของอาคาร “ท้องฟ้าจำลองกรุงเทพ” คือโดมครึ่งทรงกลม โดมครึ่งทรงกลมเป็นการย่อส่วนท้องฟ้าจริงให้มีขนาดเล็กลง เมื่ออยู่ภายในเราจะรู้สึกเหมือนกับตอนที่เรามองดูท้องฟ้าจริง ซึ่งมีลักษณะเป็นครึ่งทรงกลมครอบตัวของเราอยู่ จุดที่อยู่สูงสุดของเพดานห้องเป็นจุดยอดฟ้า (Zenith) รอยต่อระหว่างเพดานและกำแพงห้องเป็นเส้นขอบฟ้า (Horizon) และที่รอยต่อนี้จะมีตัวอักษรภาษาอังกฤษ 4 ตัว N E S W แสดงถึงทิศหลัก ๆ ทั้ง 4 ทิศ
ในโดมของห้องฉายดาวมีเครื่องฉายดาว ท้องฟ้าจำลองกรุงเทพมีเครื่องฉายดาว 2 ระบบ ระบบแรกเป็นระบบกลไกมอเตอร์และเลนส์ ซึ่งเป็นเครื่องฉายดาวเครื่องแรกและทำงานมาตั้งแต่ปี พ.ศ. 2507 เครื่องฉายดาวระบบนี้มีหลอดไฟด้านในและมีเลนส์รวมแสงอยู่โดยรอบคอยรวมแสงจากหลอดไฟให้ไปตกกระทบกับเพดานของท้องฟ้าจำลอง ปรากฏเป็นดวงดาวต่าง ๆ ตำแหน่งของเลนส์ทำให้ตำแหน่งของจุดแสงบนเพดานตรงตามตำแหน่งของดวงดาวในท้องฟ้าจริง นอกจากนี้เครื่องฉายดาวระบบนี้ยังมีเฟืองอยู่ด้านในเหมือนนาฬิกา เฟืองหลากขนาดนี้จะไปขับเครื่องฉายดาวให้หมุนรอบตัวเองเหมือนกับการเคลื่อนที่ของดวงดาวในท้องฟ้าจริงและสามารถใช้สอนดูดาวให้กับผู้ชมได้

รูปที่ 5 ใส่ภาพเครื่องฉายดาวระบบกลไกมอเตอร์และเลนส์รุ่นคาร์ลไซซ์มาร์คโฟร์
เครื่องฉายดาวเครื่องแรกมีอายุมากว่า 50 ปีแล้ว ดังนั้นจึงมีการติดตั้งเครื่องฉายดาวระบบใหม่เข้าไป คือเครื่องฉายดาวระบบดิจิตอล เครื่องฉายดาวระบบนี้มีองค์ประกอบหลัก ๆ คือเครื่องคอมพิวเตอร์ขนาดใหญ่และเครื่องฉาย 2 เครื่อง เครื่องคอมพิวเตอร์จะทำการสร้างจักรวาลจำลองจากข้อมูลทางดาราศาสตร์จริง แล้วส่งข้อมูลนี้ให้กับเครื่องฉายภาพทั้งสองเครื่องเพื่อฉายภาพขึ้นโดมของท้องฟ้าจำลองกรุงเทพ ถ้าเราตั้งค่าให้ผู้สังเกตอยู่บนสถานที่แห่งหนึ่งบนโลกในเวลาหนึ่ง ภาพที่ฉายในโดมของท้องฟ้าจำลองก็จะเป็นภาพดวงดาวบนท้องฟ้าที่สังเกตได้จากสถานที่นั้นและในเวลานั้น ซึ่งการฉายภาพแบบนี้ก็จะเหมือนกับการแสดงผลของเครื่องฉายดาวระบบกลไกมอเตอร์และเลนส์ที่มีอยู่เดิมและสามารถใช้สอนผู้ชมดูดาวได้เช่นกัน นอกจากนี้เครื่องฉายดาวระบบดิจิตอลยังสามารถฉายภาพยนตร์เต็มโดมได้ด้วย ภาพยนตร์เต็มโดมคือภาพยนตร์ที่มีภาพอยู่ล้อมรอบตัวเรา 360 องศา ทำให้ผู้ชมรู้สึกเสมือนกับไปอยู่ในฉากของภาพยนตร์จริง ๆ ภาพยนตร์ที่นำมาฉายภายในท้องฟ้าจำลองกรุงเทพ เป็นภาพยนตร์ที่มีเนื้อหาเกี่ยวกับดาราศาสตร์ เพื่อให้ความรู้ด้านดาราศาสตร์และความบันเทิงแก่ผู้ชม
ใน 1 รอบการแสดงของท้องฟ้าจำลองกรุงเทพ ใช้เวลาประมาณ 50 นาที โดยที่ครึ่งแรกจะเป็นการบรรยายดาว มีเนื้อหาคือสอนให้ผู้ชมสามารถดูดาวที่จะสังเกตเห็นได้ในคำคืนของวันที่มาดูดาวในท้องฟ้าจำลองกรุงเทพ ส่วนครึ่งหลังของการแสดงจะเป็นการฉายภาพยนตร์เต็มโดม ซึ่งภาพยนตร์เต็มโดมจะมีการเปลี่ยนเรื่องใหม่ทุก ๆ 1 เดือน
นอกจากการแสดงภายในโดมของท้องฟ้าจำลองกรุงเทพแล้ว ท้องฟ้าจำลองกรุงเทพยังมีกิจกรรมตั้งกล้องดูดาวในท้องฟ้าจริงด้วย ซึ่งเป็นกิจกรรมพิเศษสำหรับเยาวชนที่มาเข้าค่ายวิทยาศาสตร์ หรือกรณีที่มีปรากฏการณ์ทางดาราศาสตร์ที่สำคัญ ๆ
วีดิทัศน์เรื่องอาคารท้องฟ้าจำลองกรุงเทพ
กลับไปที่เนื้อหา
พลังงานจลน์และศักย์ ของ Rolling Ball
Rolling Ball เป็นนิทรรศการที่แสดงให้เห็นถึงการเปลี่ยนแปลงระหว่างพลังงานศักย์โน้มถ่วง (Gravitational Potential Energy) และพลังงานจลย์ (Kinetic Energy)
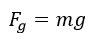
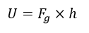
พลังงานศักย์โน้มถ่วงเป็นพลังงานที่อยู่ในวัตถุอันเนื่องมากจากวัตถุนั้นอยู่ในสนามโน้มถ่วง พลังงานศักย์ (U) มีค่าเท่ากับ “แรงโน้มถ่วง” ที่กระทำต่อวัตถุ (Fg) คูณด้วยความสูงของตำแหน่งของวัตถุ (h) ดังสมการ
จากกฏของที่ 2 ของนิวตันทำให้เราทราบว่า “แรงโน้มถ่วง” ที่กระทำต่อวัตถุ (Fg) มีค่าเท่ากับผลคูณระหว่างมวลของวัตถุ (m) และความเร่งเข้าสู่จุดศูนย์กลางโลก (g) หรือ
ดังนั้นความสัมพันธ์ระหว่าง พลังงานศักย์โน้มถ่วง มวลของวัตถุ ความเร่งเข้าสู่ศูนย์กลางโลก และความสูง มีค่าดังนี้
ความเร่งเข้าสู่ศูนย์กลางโลกมีค่าคงที่คือ 9.8 เมตร/วินาที2 ดังนั้นจากสมการนี้ทำให้เราทราบว่าพลังงานศักย์โน้มถ่วงในวัตถุนั้น มีปริมาณขึ้นอยู่กับมวลของวัตถุและความสูงของวัตถุ วัตถุสองชิ้นที่มีมวลเท่ากัน วัตถุที่อยู่สูงกว่าจะมีพลังงานศักย์มากกว่า หรือวัตถุสองชิ้นที่อยู่ที่ระดับความสูงเดียวกันวัตถุที่มีมวลมากกว่าจะมีพลังงานศักย์มากกว่านั่นเอง
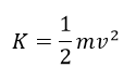
พลังงานจลย์เป็นพลังงานที่อยู่ในวัตถุขณะวัตถุมีการเคลื่อนที่ พลังงานจลน์ (K) จะมีมากหรือน้อยขึ้นอยู่กับมวล (m) และความเร็วของวัตถุ (v) ตามความสัมพันธ์ดังนี้
จากสมการนี้แสดงให้เราเห็นว่าวัตถุสองชิ้นที่มีมวลเท่ากัน วัตถุที่มีความเร็วมากกว่าจะมีพลังงานจลน์มากกว่า และวัตถุสองชิ้นที่มีความเร็วเท่ากัน วัตถุที่มีมวลมากกว่าจะมีพลังงานจลน์มากกว่าเช่นกัน
พลังงานศักย์โน้มถ่วงและพลังงานจลน์สามารถเปลี่ยนไปมาระหว่างกันได้ เมื่อเราพิจารณาการเคลื่อนที่ของวัตถุที่กำลังตกอย่างอิสระในรูปที่ 1 ที่จุดเริ่มต้นวัตถุอยู่ที่ความสูง (h) แต่ไม่มีความเร็วเพราะยังไม่เคลื่อนที่ ดังนั้นที่จุดนี้วัตถุจะมีพลังงานศักย์โน้มถ่วงสูงที่สุดเท่ากับ mgh และไม่มีพลังงานจลน์ เมื่อวัตถุเริ่มมีการเคลื่อนที่หรือเริ่มตกอย่างอิสระ พลังงานศักย์จะค่อย ๆ เปลี่ยนมาเป็นพลังงานจลน์ ที่จุดที่ 2 ซึ่งเป็นจุดกึ่งกลางของการเคลื่อนที่วัตถุจะมีพลังงานศักย์และพลังงานจลน์อย่างละครึ่ง และที่จุดที่ 3 พลังงานศักย์จะเปลี่ยนเป็นพลังงานจลน์จนหมด ที่จุดนี้วัตถุจะมีพลังงานจลน์มากที่สุดมีความเร็วมากที่สุดและไม่มีพลังงานศักย์ ผลรวมของพลังงานศักย์และพลังจลน์ตลอดการเคลื่อนที่ของวัตถุมีค่าคงที่ ซึ่งเราเรียกว่ากฏการอนุรักษ์พลังงาน (Conservative of Energy)
รูปที่ 1 แสดงการตกอย่างอิสระของวัตถุ
การเคลื่อนที่ของลูกบอลกลมกลิ้งไปตามรางนั้นก็เป็นเรื่องของการเปลี่ยนแปลงระหว่างพลังงานศักย์โน้มถ่วงและพลังงานจลน์เช่นกัน จากรูปที่ 3 จุดที่ 1 ลูกบอลมีพลังงานศักย์สูงสุดและไม่มีพลังงานจลน์ เมื่อกลิ้งไปตามรางพลังงานศักย์จะค่อย ๆ เปลี่ยนเป็นพลังงานจลน์ จุดที่ 2 ลูกบอลไม่มีพลังงานศักย์แล้ว แต่มีพลังงานจลน์มากที่สุด และความเร็วของลูกบอล ณ จุดนี้ ทำให้ลูกบอลสามารถเคลื่อนที่ขึ้นรางที่ลาดชันไปยังจุดที่ 3 ได้ การเคลื่อนที่จากจุดที่ 2 ไปจุดที่ 3 ก็คือการเปลี่ยนจากพลังงานจลน์กลับมาเป็นพลังงานศักย์อีกครั้งหนึ่ง แต่ไม่ได้เปลี่ยนทั้งหมดเนื่องจากจุดที่ 3 อยู่ต่ำกว่าจุดที่หนึ่ง ดังนั้นที่จุดที่ 3 ลูกบอลยังคงมีพลังงานจลน์เหลือค้างอยู่และสามารถกลิ้งเลยจุดที่ 3 ไปได้ พลังงานรวมของลูกบอลตลอดการเคลื่อนที่จะมีค่าคงที่เนื่องมาจากกฏการอนุรักษณ์พลังงาน อย่างไรก็ตามในโลกแห่งความเป็นจริงพลังงานของลูกบอลจะศูนย์เสียไปกับการกลิ้งของลูกบอล (rotational motion) และแรงเสียดทาน (friction) ด้วย
รูปที่ 3 แสดงการเคลื่อนที่ของลูกบอลไปตามราง
กิมบอล (gimbal) การเคลื่อนที่แบบอิสระ เหมือนกับการเคลื่อนที่ในห้วงอวกาศ
กิมบอลเป็นเครื่องเล่นที่ทำให้ผู้เล่นสามารถหมุนได้อย่างอิสระในทั้ง 3 แกน (X, Y, Z) ในการฝึกนักบินอวกาศในอดีต องค์การนาซาใช้กิมบอลเป็นเครื่องฝึกนักบินอวกาศ เพื่อให้มีความคุ้นเคยกับการทำงานในสภาวะที่มีการเปลี่ยนแปลงทิศทางอยู่ตลอดเวลา
ทีออส ดาวเทียมดวงแรกของประเทศไทย
ดาวเทียมทีออส (THEOS - THailand Earth Observation Satellite) หรืออีกชื่อหนึ่งคือดาวเทียมไทยโชต เป็นดาวเทียมสำรวจทรัพยากรดวงแรกของประเทศไทย ถูกส่งเข้าสู่วงโคจรในวันที่ 1 ตุลาคม พ.ศ. 2551 ดาวเทียมทีออส มีสถานีรับสัญญาที่ เขตลาดกระบัง กรุงเทพฯ และถูกควบคุมจากศูนย์ควบคุมที่ อ. ศรีราชา จ. ชลบุรี

รูปที่ 4 แสดงองค์ประกอบของดาวเทียมทีออส
ดาวเทียมทีออสมีน้ำหนักประมาณ 750 กิโลกรัม มีรูปทรงคล้ายกล่อง 6 เหลี่ยมสูงประมาณ 2.4 เมตร กว้างประมาณ 2 เมตร (เมื่อพับเซลล์แสงอาทิตย์) มีวงโคจรอยู่ที่ระดับความสูง 822 กิโลเมตร และมีวงโคจรสัมพันธ์กับดวงอาทิตย์ (sun synchronous orbit)
องค์ประกอบหลักของดาวเทียมทีออสคือ กล้องถ่ายภาพ 2 ตัว (Panchromatic telescope, Multi-spectral camera) เพื่อใช้ถ่ายภาพขาวดำและถ่ายภาพสี แผงเซลล์สุริยะ (Solar array) เพื่อเป็นแหล่งพลังงาน เสาอากาศ (Antenna) แบบ S และ X band เพื่อใช้ส่งและรับสัญญาณจากภาคพื้นดิน ไจโรสโคป (Gyroscope) เพื่อควบคุมทิศทางดาวเทียม อุปกรณ์ตามดาว (Star tracker) เพื่อใช้กำหนดตำแหน่งของดาวเทียม และอุปกรณ์แผ่รังสีความร้อน (Thermal radiation) เพื่อลดความร้อนที่เกิดขึ้นจากอุปกรณ์ต่าง ๆ ในดาวเทียมที่อาจจะไปรบกวนการรับข้อมูลของดาวเทียมได้
ในการสำรวจทรัพยากรธรรมชาตินั้นจะใช้กล้องถ่ายภาพขาวดำ (Panchromatic telescope) และกล้องถ่ายภาพสี (Multi-spectral camera) กล้องถ่ายภาพขาวดำจะให้ความละเอียดสูงกว่าที่ 2 เมตร ใช้ในการถ่ายภาพที่ต้องการความละเอียดสูงเช่นการถ่ายภาพเพื่อใช้เป็นข้อมูลในการทำแผนที่ ส่วนกล้องภ่ายภาพสีนั้นให้ความละเอียดที่ต่ำกว่าอยู่ที่ 15 เมตร ใช้ในการถ่ายภาพที่ไม่ต้องการความละเอียดมากนัก แต่ต้องการรายละเอียดของสีเพื่อจำแนกลักษณะของทรัพยากรบนพื้นดิน

รูปที่ 5 ภาพถ่ายจากกล้องขาว-ดำ มีความละเอียดสูง ทำให้เห็นถนนในเมืองได้ชัดเจน
ภาพจาก http://theos.gistda.or.th/
ข้อมูลที่ได้จากดาวเทียมทีออส สามารถนำไปเป็นข้อมูลสำหรับการวางผังเมือง การสำรวจการเติบโตหรือถดถอยของการเกษตร การสำรวจปริมาณของทรัพยากรธรรมชาติ การประเมินภัยพิบัติทางธรรมชาติเช่นน้ำท่วม ฯลฯ ดาวเทียมทีออส ไม่ได้เพียงแค่สำรวจเฉพาะพื้นที่ในประเทศไทยเท่านั้น แต่ยังสำรวจทรัพยากรธรรมชาติได้ทั่วโลกอีกด้วย

รูปที่ 6 ภาพถ่ายจากกล้องถ่ายภาพสี มีความความละเอียดต่ำกว่าแต่มีสีให้จำแนกลักษณะของทรัพยากรได้
ภาพจาก http://theos.gistda.or.th/
วีดิทัศน์เรื่องพิพิธภัณฑ์วิทยาศาสตร์
กลับไปที่เนื้อหา
หินและแร่
ในทางธรณีวิทยา หิน (Rocks) เป็น ของแข็งที่เกิดจากการรวมตัวกันของแร่ตั้งแต่ 1 ชนิดขึ้นไปและเกิดขึ้นตามธรรมชาติ ส่วน แร่ (Minerals) นั้น เป็น ของแข็งและเกิดจากการรวมตัวกันของธาตุเคมีตั้งแต่ 2 ธาตุขึ้นไป (chemical compound) และเกิดขึ้นตามธรรมชาติเช่นเดียวกัน
ประเภทของหิน
หินถูกจำแนกตามกระบวนการเกิดได้ 3 ประเภทคือ หินอัคณี (Igneous rock) หินตะกอน (Sedimentary rock) และหินแปร (Metamorphic rock)
หินอัคนี (Igneous rock) เกิดจากกระบวนการเย็นตัวและแข็งตัวของแมกมา (Magma) หรือลาวา (Lava) หินอัคนีถูกแบ่งออกเป็น 2 ประเภทย่อย ๆ คือ
หินอัคนีแทรกซอน (Intrusive igneous rocks หรือ Plutonic rocks) เป็นแมกมาที่เย็นตัวในเปลือกโลก ตัวอย่างของหินอัคนีประเภทนี้เช่น หินแกรนิต
หินอัคนีพุ (Extrusive ingneous rocks หรือ Volcanic rocks) หรือหินภูเขาไฟ เกิดจากการเย็นตัวของลาวา (แมกมาที่พ่นออกมาสู่ผิวโลกแล้ว) ตัวอย่างของหินประเภทนี้เช่นหินบะซอลต์
หินบนโลกส่วนใหญ่ประมาณร้อยละ 65 เป็นหินอัคนี
หินตะกอน (Sedimentary rocks) เกิดบนผิวโลกและเกิดจากการสลายตัวของสสารเป็นตะกอน จากนั้นมีการพัดพาตะกอนมาทับถมกันด้วยน้ำ ลม น้ำแข็ง ฯลฯ เมื่อเวลาผ่านไปก็กลายเป็นหินตะกอน ตัวอย่างของหินตะกอนเช่น หินน้ำมัน หินทราย หินปูน เปลือกโลกประกอบไปด้วยหินตะกอนประมาณร้อยละ 8
หินแปร (Metamorphic rocks) เกิดจากการแปรสภาพของก้อนหินซึ่งเดิมอาจจะเป็นหินอัคนี หินตะกอนหรือหินแปรเอง เมื่อผ่านแรงดันและความร้อนภายใต้ผิวโลกทำให้ลักษณะทางกายภาพและทางเคมีของก้อนหินมีการเปลี่ยนแปลงไป ตัวอย่างของหินแปรเช่น หินชนวน หินอ่อน เปลือกโลกประกอบไปด้วยหินแปรประมาณร้อยละ 27
รูปที่ 1 วัฏจักรของหิน
หินประกอบไปด้วยแร่หลายชนิด แร่ต่าง ๆ สามารถนำมาใช้ประโยชน์ได้ แร่ที่มีอยู่ในศูนย์วิทยาศาสตร์เพื่อการศึกษา เพื่อให้ผู้ชมได้ศึกษามีดังนี้
แร่แกรไฟต์ (Graphite) มีสีดำเงาหรือเทาเงา ผิวมีลัษณะลื่นมัน เกิดรอยขีดข่วนได้ง่าย มักพบอยู่ในหินแปร ประโยชน์ของแกรไฟต์คือการนำมาทำเป็นไส้ดินสอ
แร่ซัลเฟอร์หรือกำมะถัน (Sulfur) มีสีเหลืองไม่มันเงา มีกลิ่นฉุนของกำมะถัน สามารถพบเจอได้บริเวณบ่อน้ำพุร้อนตามธรรมชาติ หรือบริเวณภูเขาไฟ ประโยชน์ของซัลเฟอร์สามารถนำมาทำเป็นยารักษาโรคผิวหนังได้ และอนุพันธ์ของซัลเฟอร์เช่น กรดซัลฟิวริก สามารถนำมาเป็นส่วนผสมของแบตเตอรี่ และบ่มเพาะผลไม้ได้
แร่แคลไซต์ (Calcite) เป็นแร่ใสไม่มีสีหรือในบางครั้งก็เป็นสีขาว เทา เหลืองหรือเขียว โปร่งใสจนถึงโปร่งแสง มีความวาวคล้ายแก้ว เมื่อใช้เล็บขูดจะเป็นรอย แคลไซต์สามารถพบได้ในหินตะกอนและหินแปร ใช้นำมาทำปูนซีเมนต์ ปูนขาว หรือผสมทำเครื่องเคลือบดินเผา
แร่การ์เนต (Garnet) หรือพลอยโกเมน มีหลายสีเช่น สีแดง สีเขียว สีส้ม สีม่วง มีความโปร่งแสง มักพบในหินแปรและหินอัคนี เนื่องการเกิดการ์เนตต้องอาศัยความดันและอุณหภูมิสูง ประโยชน์ของการ์เนตคือนำมามาทำเป็นเครื่องประดับ เพราะมีความสวยงามหลังผ่านการเจียรนัยแล้ว นอกจากนี้ยังนำมาใช้เป็นผงขัดในกระบวนการอุตสาหกรรมได้ด้วย
แร่ออบซิเดียน (Obsidian) เป็นแร่สีดำเงา ความเงาวาวของออบซิเดียนทำถูกเรียกว่ากระจกภูเขาไฟ (Volcanic glass) พบได้ในหินอัคนีพุ เนื่องจากแร่ออบซิเดียนเกิดจากการเย็นตัวอย่างรวดเร็วของลาวาที่ประทุออกมาจากภูเขาไฟ ออบซิเดียนมีความแข็งมากจึงถูกนำมาทำเป็นมีด หรือมีดตัดกระจก
ฟอสซิล (Fossil)
เป็นร่องรอยของซากพืชหรือสัตว์ดึกดำบรรพ์ที่เคยมีชีวิตอยู่ในอดีต โดยปกติแล้วเมื่อพืชและสัตว์ตายลง ซากของมันจะสลายไปกับสิ่งแวดล้อม แต่บางครั้งลักษณะสภาพแวดล้อมบางอย่างก็อาจทำให้ซากเหล่านั้นกลายมาเป็นฟอสซิลได้ เช่น สัตว์ตัวหนึ่งตายแล้วจมลงสู่พื้นทะเล ส่วนของเนื้อสลายไปหมดเหลือแต่กระดูก ตะกอนต่าง ๆ ในทะเลทับถมกันลงบนกระดูก เมื่อเวลาผ่านไป ตะกอนที่ทับถมกันก็กลายเป็นหินตะกอน จากนั้นกระดูกของสัตว์ก็ค่อย ๆ สลายตัวไป เหลือเพียงโพรงในหินตะกอนเป็นรูปของกระดูกสัตว์ตัวนั้นเหมือนแม่พิมพ์ เมื่อน้ำทะเลลดลงบริเวณนี้ก็กลายเป็นพื้นดิน น้ำใต้ดินที่เต็มไปด้วยแร่ธาตุจะไหลเข้ามาเกิดการตกผลึกเป็นรูปทรงกระดูกดังกล่าว เมื่อเวลาผ่านไปอีกหลายล้านปี มีการเปลี่ยนแปลงทางธรณี ดันฟอสซิลขึ้นมาใกล้ผิวโลก จนสามารถค้นพบได้ ดังนั้นฟอสซิลจึงพบได้ในหินตะกอน และเป็นแหล่งที่ทำให้เราศึกษาพืชและสัตว์ดึกดำบรรพ์
วีดิทัศน์เรื่องดินแดนแห่งแร่
กลับไปที่เนื้อหา
ยาเสพติดเป็นยาหรือสารเคมีที่เมื่อเสพเข้าสู่ร่างกายแล้วมีผลกระทบทางด้านร่างกายและจิตใจ ผู้เสพจะต้องการเพิ่มปริมาณการเสพมากขึ้นเรื่อย ๆ และมีความต้องการเสพอย่างรุนแรงอยู่ตลอดเวลา จนศูนย์เสียการควบคุมตนเอง สามารถทำอะไรที่ผิดกฏหมายเพื่อให้ได้ยานั้นมาเสพ เมื่อเสพไปนาน ๆ ผู้เสพจะมีสุขภาพร่างกายทรุดโทรม และเมื่อหยุดใช้ยาจะเกิดอาการถอนยาหรือที่เรียกกันว่าลงแดง
เมื่อจำแนกยาเสพติดตามลักษณะการออกฤทธิ์ต่อระบบประสาท ยามเสพติดมีทั้งหมด 4 ประเภทคือ
1.ประเภทกดประสาท ได้แก่ ฝิ่น มอร์ฟีน เฮโรอีน ทินเนอร์ กาว เป็นต้น
2.ประเภทกระตุ้นประสาท ได้แก่ ยาไอซ์ ยาบ้า ยาอี กระท่อม โคเคน เป็นต้น
3.ประเภทหลอนประสาท ได้แก่ ยาเค แอลเอสดี เห็ดขี้ควาย ดีเอ็มที เป็นต้น
4.ประเภทออกฤทธิ์ผสมผสาน คือ กด กระตุ้น และหลอน ประสาท ร่วมกัน ได้แก่ กัญชา ใบกระท่อม เป็นต้น
ยาเสพติดมีหลายชนิด ในแต่ละประเทศมีการแพร่หลายของยาเสพติดแตกต่างกันออกไป ขึ้นอยู่กับค่านิยม และความสามารถในการจัดหาสารตั้งต้น ในประเทศไทยก็มีการระบาดของยาเสพติดอยู่มากเช่นกัน ยาเสพติดที่แพร่หลายและเป็นปัญหา 6 อันดับแรกคือ
1.ยาบ้าหรือยาไอซ์ ยาบ้า (amphetamine) และยาไอซ์ (methamphetamine) เป็นยาเสพติดชนิดเดียวกัน เพียงแต่ยาไอซ์มีความบริสุทธิ์สูงกว่ายาบ้ามาก ยาบ้าถูกทำให้อยู่ในลักษณะของยาเม็ด อาจมีสีส้ม สีน้ำตาลหรือสีเขียว สามารถเสพโดยการรับประทาน เผาบนฟอยด์แล้วสูดควัน หรือละลายน้ำแล้วฉีดเข้าเส้นเลือดดำ ส่วนยาไอซ์มีลักษณะเป็นเกร็ดใสมีความบริสุทธิ์มาก สามารถเสพโดยการเผาแล้วสูดควันหรือละลายน้ำแล้วฉีดเข้าเส้นเลือดดำ ยาเสพติดทั้งสองจะออกฤทธิ์ไปกระตุ้นประสาทส่วนกลาง ทำให้หัวใจเต้นเร็วขึ้น ความดันโลหิตสูงขึ้น ม่านตาขยาย ไม่หิว มีอารมณ์ทางเพศสูง และตื่นตัวอยู่ตลอดเวลา
2.เฮโรอีนหรืออนุพันธ์ของฝิ่นอื่น ๆ (Heroin) เป็นยาเสพติดที่สังเคราะห์มาจากฝิ่น มีลักษณะเป็นผงสีขาวรสขม สามารถเสพโดยการเอาไปละลายน้ำแล้วฉีดเข้าเส้นเลือดดำ หรือนำไปลนไฟแล้วสูดไอระเหย เฮโรอีนมีฤทธิ์กดประสาทส่วนกลางทำให้ผู้เสพจะมีอาการเคลิบเคลิ้มมีความสุข แต่หากเสพในปริมาณที่มากเกินไปอาจทำให้ระบบควบคุมการหายใจล้มเหลวและเสียชีวิตได้
3.โคเคน (Cocaine) เป็นยาเสพติดที่สังเคราะห์มาจากต้นโคคาที่มีมากบนภูเขาสูงในทวีปอเมริกาใต้ มีลักษณะเป็นผงผลึกสีขาว มักนิยมเสพโดยการสูดเข้าจมูก ผู้เสพจะรู้สึกเคลิ้บเคลิ้มมึนเมา และจะออกฤทธิ์เป็นระยะเวลาสั้น ๆ หลังจากนั้นจะรู้สึกกระสับกระส่ายและหดหู่ เป็นยาเสพติดที่มีฤทธิ์กระตุ้นประสาททำให้ผู้เสพมีหัวใจเต้นเร็ว ความดันโลหิตสูง อุณหภูมิร่างกายสูงขึ้น การใช้ยาเกินขนาดจะทำให้หัวใจเต้นเร็วจนเกิดสภาวะหัวใจล้มเหลว
4.ยาอี (Ecstacy) เป็นยาที่นิยมกันมากในกลุ่มวัยรุ่น ยาอีเคยเป็นยาที่ถูกใช้รักษาผู้ป่วยทางจิตในช่วยยุค 1970 ก่อนที่จะกลายมาเป็นยาเสพติดในอีก 10 ปีให้หลัง ยาอีมักจะมาในรูปของเม็ดยาสี เขียว ฟ้า ชมพู ส้ม ยาอีมักจะถูกเสพด้วยการรับประทาน ผู้เสพจะมีความรู้สึกตอบสนองสิ่งเร้าได้ง่ายจากประสาทสัมผัสต่าง ๆ ยาอีมีฤทธิ์กระตุ้นประสาท ทำให้หัวใจเต้นเร็ว ความดันโลหิตสูง และอุณภูมิร่างกายสูง เมื่อหมดฤทธิ์ยาแล้วผู้เสพจะมีอาการซึมเศร้า ยาอีมีฤทธิ์ทำลายเซลล์สมอง ทำให้ผู้เสพที่เป็นวัยรุ่นมีผลการเรียนรู้ต่ำกว่าคนปกติทั่วไป
5.ยาแก้ไอผสมโคเดอีน โคเคดีน (Codaine) เป็นสารเคมีที่สกัดจากฝิ่น มีจุดประสงค์เพื่อใช้เป็นยาแก้ไอ โคเดอีนมีฤทธิ์กดระบบประสาทส่วนกลาง ทำให้ผู้เสพมีความสุขเคลิบเคลิ้มชั่วขณะหนึ่ง โคเดอีนมักถูกสมกับยาแก้ไอหรือแอลกฮอล์ และเสพด้วยวิธีการดื่ม การใช้โคเดอีนในระยะยาวจะทำให้เกิดอาการซึมเศร้าและขาดสมาธิ หากใช้เกิดขนาดอาจทำให้เกิดอาการชักได้
6.กัญชา (Cannabis) เป็นพืชล้มลูก การนำกัญชามาใช้เสพนั้นจะนำช่อดอกตัวเมียและใบที่ติดมากับช่อดอก มาตากหรืออบแห้ง จากนั้นนำไปบดหรือหั่นเป็นฝอยแล้วจึงนำไปมวนกับยาสูบในบุหรี่หรือสูบโดยใช้บ้องกัญชา ผู้เสพจะดูดเอาควันจากกัญชาเข้าไปในปอด ค้างไว้ซักพักหนึ่งแล้วจึงปล่อยออก ทำให้มีอาการประสาทหลอน รู้สึกล่องลอยเห็นภาพที่ไม่มีอยู่จริง และมองเห็นสิ่งรอบตัวเรากำลังดำเนินไปอย่างช้า ๆ ผู้เสพจะมีอาการกระหายน้ำและอยากอาหารมาก ในระยะการสูบกัญชามีผลทำให้ความจำเสื่อม ความฉลาดลดลง การรับรู้เรื่องเวลาและระยะทางผิดปกติ และสามารถส่งผลให้เกิดอาการวิกลจริตได้
สาเหตุที่ทำให้คนติดยาเสพติดคือ ตัวสารของยาเสพติด ตัวผู้เสพ และสภาพแวดล้อมที่ผู้เสพอาศัยอยู่ สารที่มีอยู่ในยาเสพติดเป็นสารที่ออกฤทธิ์ต่อระบบประสาท ทำให้ร่างกายเรารู้สึกพึงพอใจและมีความสุขมากกว่าปกติมาก เมื่อหยุดเสพความรู้สึกนี้จะลดลง ทำให้ร่างกายมีความรู้สึกต้องการจะเสพอีกเพื่อให้ความรู้สึกพึงพอใจและความสุขดังกล่าวกลับมา ส่วนสาเหตุที่มาจากตัวผู้เสพนั้นอาจเกิดจากการที่ผู้เสพอาจต้องใช้ยาในการรักษาโรคเป็นระยะเวลานานจนทำให้เกิดการเสพติด หรือผู้เสพมีปัญหามากระทบจิตใจ มากจนต้องพึ่งพายาเสพติดเพื่อให้ลืมปัญหาดังกล่าว สภาพแวดล้อมเองก็มีส่วนสำคัญ บุคคลที่อยู่ในสภาพแวดล้อมที่มีคนเสพยาเสพติดมากก็มีโอกาสติดยาเสพติดไปด้วย เช่น การมีคนในครอบครัวหรือมีเพื่อนที่ติดยาเสพติด ก็อาจจะเหนี่ยวนำให้บุคคลดังกล่าวติดยาเสพติดได้เช่นกัน
ยาเสพติดส่งผลกระทบด้านลบต่อตัวบุคคลทั้งทางร่างกายและจิตใจ และส่งผลกระทบด้านลบต่อสังคมด้วย สังคมที่มีประชากรติดยาเสพติดมาก จะเป็นสังคมที่เต็มไปด้วยอาชญากรรมและไม่เจริญก้าวหน้า ดังนั้นการป้องกันและการบำบัดผู้ที่ติดยาเสพติด จึงเป็นสิ่งที่สำคัญ
การป้องกันคนไม่ให้ติดยาเสพติดสามารถทำได้หลายวิธี เช่น การเผยแพร่ความรู้เกี่ยวกับพิษภัยของยาเสพติด ที่มีต่อตัวบุคคลและสังคม การส่งเสริมความแข็งแรงของสถานบันครอบครัว การออกกฏหมายที่เกี่ยวกับยาเสพติด การส่งเสริมการบังคับใช้กฏหมายที่เกี่ยวกับยาเสพติด ฯลฯ สิ่งเหล่านี้จะช่วยให้สังคมของเราปลอดจากยาเสพติดได้ สำหรับผู้ที่ติดยาเสพติดไปแล้ว การบำบัดรักษาก็เป็นสิ่งที่สำคัญเพื่อให้ผู้ที่ติดยาเสพติดสามารถกลับเข้าสู่สังคมเพื่อช่วยพัฒนาสังคมต่อไป ในปัจจุบันผู้ที่ติดยาเสพติดถือว่าเป็นผู้ป่วยและสามารถเข้ารับการรักษาที่โรงพยาบาลรัฐและเอกชนได้
วีดิทัศน์เรื่องยาเสพติด
กลับไปที่เนื้อหา
หุ่นยนต์คือ เครื่องจักรกลชนิดหนึ่งที่สามารถทำงานได้อย่างอัตโนมัติ ตามโปรแกรมคอมพิวเตอร์หรือวงจรอิเล็กทรอนิกส์ เพื่อให้ทำงานตามวัตถุประสงค์ที่ต้องการ
หุ่นยนต์แบ่งตามลักษณะของการเคลื่อนที่ได้ 2 แบบ คือหุ่นยนต์แบบเคลื่อนที่ไม่ได้และหุ่นยนต์แบบเคลื่อนได้หุ่นยนต์แบบเคลื่อนที่ไม่ได้ มักไม่มีความจำเป็นที่จะต้องย้ายตำแหน่งอยู่ตลอดเวลา ยกตัวอย่างเช่น หุ่นยนต์ตามโรงงานประกอบรถยนต์ ที่อาศัยเพียงแค่แขนกลในการเชื่อมวงจรต่าง ๆ โดยรถยนต์จะเป็นชิ้นส่วนที่เคลื่อนไปตามสายพานแทน ดังนั้นหุ่นยนต์ในโรงงานรถยนตร์จึงไม่มีความจำเป็นต้องเคลื่อนที่ไปไหน หรือหุ่นยนต์สำรวจดาวอังคารที่มีชื่อว่าฟีนิกซ์ ก็เป็นหุ่นยนต์ที่ไม่จำเป็นต้องเคลื่อนที่เช่นกัน เนื่องจากมีการกำหนดจุดประสงค์และพื้นที่ที่จะต้องทำการขุดและวิจัยดินบนดาวอังคารไว้แล้ว

รูปที่ 1 หุ่นยนต์แบบเคลื่อนที่ไม่ได้ในโรงงานผลิตรถยนต์

รูปที่ 2 ยานสำรวจดาวอังคารฟีนิกซ์ (Phoenix)
ส่วนหุ่นยนต์แบบเคลื่อนที่ได้ ก็จะมีความจำเป็นที่ต้องย้ายตำแหน่งอยู่ตลอดเวลา เช่น หุ่นยนต์ที่ต้องใช้ขนส่งของจากที่หนึ่งไปอีกที่หนึ่งในโรงงาน หุ่นยุนต์เครื่องดูดฝุ่นที่หลาย ๆ บ้านใช้ในปัจจุบันก็มีความจำเป็นต้องเคลื่อนที่ไปดูดฝุ่น ตามพื้นที่ที่กำหนด หรือหุ่นยนต์ที่ส่งไปสำรวจดาวอังคารหลายตัวก็เป็นหุ่นยนต์แบบเคลื่อนที่ได้ เพราะต้องเดินทางไปสำรวจวัตถุต่าง ๆ ในหลาย ๆ บริเวณ เช่น คิวริออซิตี (Curiosity) บนดาวอังคาร ต้องเคลื่อนที่ไปสำรวจก้อนหิน ดิน ในหลายบริเวณ

รูปที่ 3 หุ่นยนต์เครื่องดูดฝุ่น

รูปที่ 4 หุ่นยนต์คิวริออซิตีบนดาวอังคาร
ในปัจจุบันเราใช้หุ่นยนต์จำนวนมากช่วยเราทำงานเพราะหุ่นยนต์ทำงานได้อย่างไม่รู้จักเหน็ดเหนื่อย มีความแม่นยำสูง และสามารถทำงานในสถานที่ที่คนไม่สามารถเข้าไปทำงานได้ ในอนาคตหุ่นยุนต์จะสามารถทำงานได้ด้วยตัวเองมากขึ้น ตัดสินใจได้ด้วยตัวเอง และเรียนรู้พัฒนาตัวเองได้ ส่งผลให้ทำงานได้อย่างมีประสิทธิภาพมากขึ้น
วีดิทัศน์เรื่องห้องปฏิบัติการหุ่นยนต์
กลับไปที่เนื้อหา
DNA (Deoxyribonucleic acid) เป็นกรดนิวคลีอิกที่อยู่ภายในนิวเคลียสของเซลล์สิ่งมีชีวิตมีหน้าที่เก็บข้อมูลทางพันธุกรรมของสิ่งมีชีวิตเอาไว้ ซึ่ง DNA เป็นตัวกำหนดลักษณะของสิ่งมีชีวิต เช่น ลักษณะทางกายภาพ ลักษณะการทำงานของร่างกาย ลักษณะของพฤติกรรม ลักษณะการเจริญเติบโต ฯลฯ เมื่อมีการแบ่งเซลล์เพื่อสืบลูกหลานลักษณะทางพันธุกรรมนี้ก็จะถูกถ่ายทอดไปยังรุ่นลูกรุ่นหลานด้วย
DNA ประกอบไปด้วยสาย 2 สาย (Strands) บิดกันเป็นเกลียว และบนสายแต่ละสายก็จะประกอบไปด้วยนิวคลีโอไทด์ (Nucleotides) 4 ชนิดคือ อะดีนีน (Adenine, A) ไทมีน (Thymine, T) ไซโตซีน (Cytosine, C) และกัวนีน (Guanine, G) นิวคลีโอไทด์เหล่านี้ถูกเรียกว่า “เบส - Base” ได้เป็น เบส A เบส T เบส C และเบส G โดยเบส A จะจับคู่ (base pairing) กับเบส T เท่านั้น และเบส G จะจับคู่กับเบส C เท่านั้น

รูปที่ 1 แสดงเกลียวของดีเอ็นเอ
http://www.iptv.org/exploremore/ge/what/images/cell5.gif
ร่างกายของมนุษย์มีเซลล์ที่แตกต่างกันกว่า 200 ชนิด เซลล์แต่ละชนิดรู้หน้าที่ของตัวเองจากการอ่านดีเอ็นเอ และแม้ว่าดีเอ็นเอจะประกอบด้วยตัวเบสเพียงแค่ 4 ตัว (A T G C) แต่ก็มีความยาวหลายพันตัวอักษร ทำให้สามารถมีรูปแบบการเรียงเบสได้เป็นพันพันล้านแบบ ความยาวของการเรียงเบสระยะหนึ่งในดีเอ็นเอ ถูกเรียกว่ายีนส์ ดังนั้นใน 1 ดีเอ็นเอจะมียีนส์หลายตัว ยีนส์แต่ละตัวเป็นคำสั่งให้เซลล์ผลิตโปรตีนเฉพาะ เพื่อให้เซลล์ทำหน้าที่อย่างหนึ่ง ดีเอ็นเอมีความยาวและบางมากแต่ขดกันจนมีขนาดเล็กเรียกว่าโครโมโซม โครโมโซมอาศัยอยู่ภายในนิวเคลียสของเซลล์

รูปที่ 2 แสดงยีนส์ ดีเอ็นเอ และโครโมโซม
http://1.bp.blogspot.com/-n4_nw_Qgbj0/UyPsY90VMgI/AAAAAAAACuY/CdrT2MQ9qts/s1600/Cell+Chromosome++DNA+Gene.gif
เซลล์ของสิ่งมีชีวิตมีการแบ่งตัวอยู่ตลอดเวลา เพื่อทดแทนเซลล์เดิมที่หมดอายุหรือเพื่อการสืบพันธุ์ของสิ่งมีชีวิต ในการแบ่งตัวของเซลล์จะมีการก็อปปี้ดีเอ็นเอจากเซลล์เดิมแล้วผลิตเป็นดีเอ็นเอสำหรับเซลล์ใหม่ เซลล์สามารถเช็คดีเอ็นเอได้ทั้งก่อนและหลังการแบ่งเซลล์เพื่อตรวจสอบว่าการก็อปปี้นั้นมีความถูกต้องหรือไม่ ดีเอ็นเอใหม่ที่ผิดปกติจะถูกทำลาย อย่างไรก็ตามการเปลี่ยนแปลงทางดีเอ็นเอเล็ก ๆ น้อย ๆ บางครั้งก็รอดผ่านการตรวจเช็คของเซลล์ได้ เมื่อเวลาผ่านไปการเ ปลี่ยนแปลงเล็ก ๆ น้อย ๆ นี้ก็สะสมมากขึ้น ส่งผ่านไปรุ่นต่อรุ่นและค่อย ๆ ไปเปลี่ยนแปลงลักษณะของสิ่งมีชีวิต การเปลี่ยนแปลงของดีเอ็นเอนี้มีผลมาจากสภาพแวดล้อมรอบสิ่งมีชีวิตเปลี่ยนไป สิ่งมีชีวิตที่ไม่เหมาะสมกับสภาพแวดล้อมใหม่จะสูญพันธ์ไป เหลือเพียงแต่สิ่งมีชีวิตที่เหมาะสมอยู่รอด (Natural Selection) และเราเรียกการเปลี่ยนแปลงนี้เรียกว่า “วิวัฒนาการ (Evolution)”
วีดิทัศน์เรื่องความลับของสิ่งมีชีวิต
กลับไปที่เนื้อหา
โลกเป็นดาวเคราะห์ดวงที่ 3 จากดวงอาทิตย์ อยู่ไม่ใกล้ดวงอาทิตย์จนร้อนเกินไป และอยู่ไม่ไกลจากดวงอาทิตย์จนเย็นเกินไป โลกมีชั้นบรรยากาศที่มีสัดส่วนของก๊าซเหมาะสมและสามารถเก็บความร้อนได้ดี โลกมีน้ำเป็นของเหลวที่พื้นผิวจำนวนมาก ปัจจัยเหล่านี้ทำให้โลกเป็นดาวเคราะห์ที่มีสภาพเหมาะสมต่อการมีสิ่งมีชีวิต
โลกมีลักษณะเป็นทรงกลมแป้น เส้นผ่านศูนย์กลางโลกที่ลากจากขั้วโลกเหนือไปขั้วโลกใต้สั้นกว่าเส้นผ่านศูนย์กลางจากจุดหนึ่งบนเส้นศูนย์สูตรไปยังอีกจุดหนึ่งบนเส้นศูนย์สูตรที่อยู่ตรงข้ามกัน เนื่องจากโลกหมุนรอบตัวเองทำให้บริเวณเส้นศูนย์สูตรนั่นโป่งพองออก โลกมีรัศมีเฉลี่ย 6,371 กิโลเมตร มีเส้นรอบวงประมาณ 40,000 กิโลเมตร และมีมวลประมาณ 6 x 1024 กิโลกรัม
โครงสร้างภายในของโลกแบ่งออกเป็น 4 ชั้นคือ เปลือกโลก (Crust) แมนเทิล (Mantle) แก่นโลกชั้นนอก (Outer Core) และแก่นโลกชั้นใน (Inner Core)

รูปที่ 1 โครงสร้างภายในของเปลือกโลก
http://images.slideplayer.com/39/10853901/slides/slide_1.jpg
เปลือกโลก (Crust) เปลือกของโลกมีลักษณะเป็นของแข็ง ประกอบไปด้วยหินอัคนี หินแปร และหินตะกอน มีความหนาประมาณ 5 ถึง 10 กิโลเมตร ในบริเวณที่เป็นพื้นมหาสมุทร และมีความหนาประมาณ 30 ถึง 50 กิโลเมตร ในบริเวณที่เป็นพื้นทวีป เปลือกโลกลอยอยู่บนแมนเทิล (Mantle) หรือหินหนืด
แมนเทิลหรือหินหนืด (Mantle) อยู่ระหว่างเปลือกโลกและแก่นโลกชั้นนอก มีความหนา 2,885 กิโลเมตร และมีปริมาตรเป็นร้อยละ 84 ของปริมาตรของโลก ประกอบไปด้วยหินซิลิเกตละลายที่ไหลอยู่ภายใต้ความดันสูง แมนเทิลที่อยู่ใกล้กับแก่นโลกมีความร้อนสูงกว่าจะลอยตัวขึ้นสูงไปยังบริเวณใต้เปลือกโลกแล้วเย็นตัวก่อนที่จะจมลงอีกครั้ง นักวิทยาศาสตร์เชื่อกว่าการเคลื่อนที่ของแมนเทิลเช่นนี้เป็นสาเหตุที่ทำให้เปลือกโลกแยกตัวเป็นแผ่น (Plates) และมีการเคลื่อนที่ การเคลื่อนที่ของเปลือกโลกทำให้เกิดแผ่นดินไหว และการปะทุของภูเขาไฟ
แก่นโลกชั้นนอก (Outer Core) เปลือกโลกชั้นนอกเป็นชั้นที่อยู่ระหว่างชั้นแมนเทิลและเปลือกโลกชั้นใน มีความหนาประมาณ 2,300 กิโลเมตร ประกอบไปด้วยเหล็กและนิกเกิลที่อยู่ในสถานะของเหลว มีอุณหภูมิประมาณ 2,730–4,230 องศาเซลเซียส เหล็กและนิกเกิลเหลวที่เคลื่อนที่ในบริเวณแก่นโลกชั้นนอกนี้ทำให้เกิดสนามแม่เหล็กโลก ปกป้องโลกจากลมสุริยะและรังสีที่เป็นอันตรายต่าง ๆ จาก อวกาศ
แก่นโลกชั้นใน (Inner Core) คือบริเวณที่อยู่ใจกลางโลก คาดว่ามีรัศมีประมาณ 1,220 กิโลกเมตร เป็นอัลลอยของเหล็กและนิเกิล (อัลลอยคือโลหะผสมตั้งแต่ 2 ชนิด ขึ้นไป) มีอุณหภูมิสูง 5,400 องศาเซลเซียส ซึ่งร้อนเท่ากับพื้นผิวของดวงอาทิตย์ ความร้อนที่สูงมากควรทำให้แก่นโลกเป็นของเหลว แต่เนื่องจากความดันมหาศาลจึงทำให้แก่นโลกชั้นในเป็นของแข็ง นักวิทยาศาสตร์เชื่อว่าแก่นโลกชั้นในมีส่วนช่วยให้แก่นโลกชั้นนอกผลิตสนามแม่เหล็กโลกเช่นกัน
วีดิทัศน์เรื่องโลกและการเปลี่ยนแปลงของเปลือกโลก
กลับไปที่เนื้อหา
“ปลา” เป็นสัตว์มีกระดูกสันหลัง อาศัยอยู่ในน้ำ และเป็นสัตว์เลือดเย็น ซึ่งหมายความว่าอุณหภูมิร่างกายของปลามีการเปลี่ยนแปลงตามอุณหภูมิของสภาพแวดล้อม บนโลกของเรามีปลาประมาณ 30,000 สปีชีส์
จากหลักฐานฟอสซิลทำนักวิทยาศาสตร์เชื่อว่าปลาถือกำเกิดขึ้นเมื่อ 530 ล้านปีที่แล้ว ในยุคแคมเบรียน (Cambrian) ซึ่งมีลักษณะไม่ค่อยเหมือนปลานัก ปลามีวิวัฒนาการหลากหลายที่สุดในยุคเดโวเนียน (Devonian) หรือยุคแห่งปลาเมื่อประมาณ 400 ถึง 350 ล้านปีที่ผ่านมา

รูปที่ 1 แสดงองค์ประกอบของปลา
(CC BY-SA 1.0 https://en.wikipedia.org/wiki/Fish#/media/File:Lampanyctodes_hectoris_(Hector%27s_lanternfish)2.png )
ปลามีองค์ประกอบต่างจากสัตว์บก เพื่อให้ปลาสามารถดำรงชีวิตอยู่ในน้ำได้ องค์ประกอบภายนอกที่เราสามารถสังเกตเห็นได้จากปลามีดังนี้
1.กระดูกเปิดปิดเหงือก (Gill cover) เป็นส่วนที่ปกป้องเหงือก (Gill) ของปลาไว้ ปลาใช้เหงือกในการหายใจ ปลาจะนำน้ำเข้าทางปากและบังคับให้น้ำไหลผ่านออกทางเหงือ เหงือของปลาจะสกัดเอาออกซิเจนที่มีอยู่ในน้ำเข้าสู่เส้นเลือดของปลาและไปหล่อเลี้ยงเซลล์ต่าง ๆ ของร่างกาย
2.เส้นข้างลำตัว (Lateral Line) เป็นระบบประสาทสัมผัสของปลา ทำหน้าที่รับรู้ การเคลื่อนไหวและการสั่นของน้ำรอบตัวปลา เป็นระบบนำร่องของปลาและช่วยให้ปลาหาอาหารหรือหลบหลีกจากศัตรู
3.ครีบหลัง (Dorsal Fin) เป็นครีบที่อยู่บนหลังของปลา ช่วยในการทรงตัวของปลาไม่ให้ปลาหมุนรอบแกนตามแนวนอนที่ลากจากหัวปลาไปหางปลา (Rolling prevention) และยังช่วยให้ปลาสามารถเลี้ยวได้อย่างรวดเร็ว
4.ครีบไขมัน (Fat Fin) เป็นครีบที่มีความอ่อนนุ่มอยู่ด้านหลังของครีบหลัง ปลาบางสายพันธ์ก็ไม่มีครีบไขมัน หน้าที่ของครีบไขมันยังไม่ทราบเป็นที่แน่ชัด
5.หางปลา (Caudal Peduncle) เป็นบริเวณที่ลำตัวต่อกับครีบหาง
6.ครีบหาง (Caudal Fin) เป็นครีบที่อยู่ส่วนท้ายสุดของปลาต่อจากหางปลา มีหน้าที่คอยบังคับทิศทางให้ปลาพุ่งไปข้างหน้า บังคับเลี้ยว และการทรงตัว
7.ครีบทวาร (Anal Fin) เป็นครีบเดี่ยว อยู่ด้านล่างของลำตัวปลา หลังทวารหนักของปลา ช่วยให้ปลาสามารถทรงตัวได้
8.โฟโตฟอร์ (Photophores) เป็นอวัยวะที่เปล่งแสงได้ของปลา ใช้ในการล่อเหยื่อ หรือสร้างความสับสนให้กับผู้ล่า
9.ครีบล่างลำตัว (Pelvic Fins) เป็นครีบคู่ มีสองด้านซ้ายขวาของลำตัวปลา ทำหน้าที่ช่วยบังคับทิศทางการเคลื่อนที่ของปลา
10.ครีบอก (Pectoral Fins) เป็นครีบคู่ มีสองด้านซ้ายขวาเช่นกัน อยู่ด้านหลังของกระดูกปิดเหงือก ครีบอกทำหน้าที่ช่วยบังคับทิศทางการเคลื่อนที่ของปลาเช่นกัน
ปลาเป็นแหล่งอาหารที่สำคัญของมนุษย์ จึงมีการทำประมงมากมาย เพื่อจับปลามาเป็นอาหาร นอกจากนี้ยังมีการทำฟาร์มปลาอย่างแพร่หลายด้วย เพื่อให้เพียงพอต่อความต้องการของเรา
กลับไปที่เนื้อหา
-
คลังรูปภาพ
ชื่อ Galleryอาคารท้องฟ้าจำลองกรุงเทพGalleryชื่อ Galleryนิทรรศการพลังวิทย์พิชิตยาเสพติดGalleryชื่อ Galleryโลกและการเปลื่ยนแปลงของเปลือกโลกGalleryชื่อ Galleryความลับของสิ่งมีชีวิตGalleryชื่อ Galleryห้องปฎิบัติการเทคโนโลยีหุ่นยนต์Galleryชื่อ Galleryอาคารโลกใต้น้ำGalleryชื่อ Galleryอาคารพิพิธภัณฑ์วิทยาศาสตร์Galleryชื่อ Galleryเปิดประตูสู่โลกดึกดำบรรพ์Galleryชื่อ GalleryชีวิตพิศวงGalleryชื่อ GalleryภาพพาโนรามาGallery
-
คลังวิดีทัศน์
ศูนย์วิทยาศาสตร์เพื่อการศึกษา
-
คำที่เกี่ยวข้อง
